Boris Calls For Vaccination of Children to Keep Schools Open – But Why When Almost All of Them Have Had the Virus?
Boris Johnson yesterday called for all children to be vaccinated in order to keep schools open. He told a Downing Street press conference: “We know how crucial it is to keep children in school, so let’s all make sure our children and young people are vaccinated before they go back next term.”
But why is this a good idea when most schoolchildren have had the virus already and have natural immunity? According to the MRC Biostatistics Unit at the University of Cambridge, nearly half of children in England under 15 caught the virus between the beginning of September and mid-October, bringing the total infected at that point to 76%, with more having caught it since. These estimates, while modelled, are also broadly in line with ONS Infection Survey estimates, which show a large outbreak in schoolchildren this autumn.

Noah Carl has highlighted three recent large studies which show that immunity via infection is much stronger and more durable than immunity via vaccination. In the chart below from a Danish study, the green line is protection over time from vaccine only, the orange line is from infection only and the yellow line is from infection plus vaccine.

This suggests there is little additional protection to be gained from being vaccinated, particularly once infected. Furthermore, the vaccines are not without risks, with the JCVI in September advising against vaccinating 12-15 year-olds owing to the low severity of the disease in the young and the serious adverse events like myocarditis which are “still in the process of being described”, so that “substantial uncertainty remains regarding the health risks associated with these adverse events”. Side-effects have also been found to be more common in those previously infected, making the mass vaccination of a young population with high prior infection rates particularly low gain and high risk. In Vietnam, the government reports that four children have so far died following a reaction to the Pfizer vaccine.
Isn’t it better for schoolchildren to be exposed to these viruses and variants so they can build up immunity to them? Since when did we vaccinate children against colds and flu – and close schools in the winter because they get the sniffles? Pressurising parents to vaccinate their children with vaccines for which the safety profile is, as the JCVI advised, highly uncertain, against a disease which is no real threat to them, under threat of closing schools if too many of them get sick, is not a medically or ethically sound policy.
To join in with the discussion please make a donation to The Daily Sceptic.
Profanity and abuse will be removed and may lead to a permanent ban.
How many tests have been done in the UK? 375 Million. Running at 1.3 million+ per day, it will be about 400 million by New Year. Recent figures are showing 96% negative. This is a typical percentage. It is also not surprising as tests are in the main carried out on people who have no sickness whatsoever. Fraudulent advice has told people:
You can be sick, not know it, yet be a danger to all around you (asymptomatic transmission)
Against all human knowledge prior to 2020, coughing and sneezing are not the only actions to mitigate (by covering face with handkerchief/tissue when coughing or sneezing), but normal, everyday, shallow breathing is a culprit. We must therefore cover up the virus laden nose and mouth all day with a cloth or plasticised paper tissue mask.
If you are one of the 4% then you must isolate from society for a week or two, no matter if you are sick or not. There have been 44 fortnights since March 2020 but it would have only taken 25 for everyone tested positive to have isolated at least once.
Information requested Confirm the at cost price to the NHS laboratories the cost of processing our PCR tests for covid 19 and subsequent costs of the genomic sequencing for positive tests all as I said at cost price. Response The answer to your question can be found below. We are unable to provide exact costing as this depends on the circumstances described below. PCR Testing Range Average £19 – £43 per test dependant on location of test and type of analyser used. Sequence PCR Sample Average £26 – £69 per test dependant on location of test and type of analyser used. At £30 per test then that is £39,000,000 per day minimum currently being spent on testing! one days pcr testing= 2294 heart bypass operations @£17,000 each 3545 replacement hips @£11,000 each 14,444 hernia operations @ 2700 each The nhs conducts an average of 20,000 heart bypass operations per year ( based on 2000 to 2020 figures) so approximately one week of covid pcr tests costs as much as a the total heart bypass operation expenditure in one year. Bare in mind that Heart and circulatory diseases cause a quarter of all deaths in the UK, that’s more than 160,000 deaths each… Read more »
So very very this ^^^^^ !!!
Really good piece, such a pity the Terrorgraph or the BBC don’t pick this up, but then its not about health
The media are owned by Blackrock and Vanguard, they own most of the world’s companies from big food to big pharma – they feed you the crap you eat to make you sick to make you need drugs and now have a new plan:
Watch this video: “MONOPOLY – Who owns the world?”
https://www.youtube.com/watch?v=UNg3Vnfu4Pk
They both work for Gates, not the British people.
Noises were being made, here and elswhere, about the true costs of ‘free’ testing since they were introduced.
£X or £Y millions means nothing so thanks for supplying those comparisons.
Thanks Twinkytwonk – great piece of research/writing. Really, what are the mask/lockdown/testing afficionados thinking? Shutting down the Health Service and diverting vast resources to cater for people who aren’t sick?
NB to my earlier post, even at 4% the huge number of tests mean that there have been 15 million positive tests. Can someone explain to the politicians that once you reach even a tiny fraction of that number the time to flatten the curve is perhaps over?
5 minutes which is obviously to much time to spend doing some research for the MSM. For anybody that is waiting an operation or has a relative that is. I hope those in charge burn in hell.
Dear MSM worm-tongues
THE ABOVE is what real journalism looks like.
Regards,
The British People.
Surely the minimum cost per test should be £45 at least?
£19 plus £26 = £45. So that would be £58,500,000,
What have I missed?
I excluded genomic sequencing as I am unsure of how many they do per number of tests. I expect they will do only maybe one for every 1000 tests conducted.
The numbers therefore are the absolute minimum .
Thank you for your prompt explanation.
I really screwed up. I did not invest in Pharma, testing or PPE – damn!
Excellent post. I might borrow it if you don’t mind?
Awesome post, thank you!
You need 5% symptomatic case to be positive to follow the definition of a pandemic.
So it’s not a pandemic.
Indeed, and that’s using WHO guidelines.
They could give out ANY exaggerated figures, and there’d be no way of verifying them. Aren’t all the ‘labs’ overwhelmed with all these ‘tests’? How many people are working on them, and where?
Why is the recovered then vaccinated line so short? Would it show a slide into negative efficacy if it were longer? This “hybrid” or “super” immunity seems to have very little supporting science.
In fact, it seems like a ploy to get the recovered onto the same 3-monthly vaccine schedule as everyone else, when they’ll otherwise have durable immunity for life.
From this study (https://www.rockefeller.edu/news/30919-natural-infection-versus-vaccination-differences-in-covid-antibody-responses-emerge/) we see that the vaccine induced memory B cells stop developing after about 2 months, whereas natural immunity continues to develop for years.
I think the case for this “super” immunity is so thin it just needs a little more prodding and it will fall to pieces. We’re lucky we have a superhuman Dr Will Jones to hold the line and keep prodding for us.
Thanks for the link Matt.
“Hope for a future without fear of COVID-19 comes down to circulating antibodies and memory B cells. Unlike circulating antibodies, which peak soon after vaccination or infection only to fade a few months later, memory B cells can stick around to prevent severe disease for decades. And they evolve over time, learning to produce successively more potent “memory antibodies” that are better at neutralizing the virus and more capable of adapting to variants.“
This is similar to what Dr Mike Yeadon has been saying all along and chimed with my understanding of natural immunity. Which makes me struggle to understand why the NI section of vaxx passports only recognises NI following recovery within 6 months of a positive PCR test.
Begs the question A) why do they not know that NI lasts for decades and B) is more potent than a vaxx and capable of responding to variants?
I would feel a letter to my MP coming on but as he didn’t bother to vote against the vaxx passport measures in HoC the other night I fear it would be a waste of time.
They know. They don’t want the people to know.
Politicians don’t deal with science. All they do is absorb and reflect the prejudices of their electorate and tell them what they want to hear.
They are increasingly followers, not leaders.
It’s not science analysis we need; little of that is being done.
We need Psy-ops analysis.
I think it would have been relatively easy for them not to vaxx kids. There have been myriad chances to declare victory and step back from the folly and evil, and at almost each turn the opposite has been done. The prejudices of the electorate are in part being shaped by what the government is deliberately doing, through their lies, their messages, their falsified stats. For me, the balance of evidence is now overhwhelmingly that we have gone way beyond just following the electorate.
Not sure. Just inspect the average response to a Times article in the comments. Some of it is unbelievable.
Yes, but what has caused the unbelievability of those responses? Surely in large part deliberately egged on by govt lies.
Agreed, its self reinforcing
I did this in the Guardian the other day. The comments were along the line of they want the unvaxxed to catch covid so that they all die. Obviously Guardian readers are statistically illiterate and nasty middle class wankers.
It’s frightening how nasty people are. It feels like the majority of the population are vicious bullies. It may not be the case but unfortunately it’s the big mouths who seem to set the agenda.
well there was an “electrical torture” experiment done that reveals that 90% of sheeple will inflict pain on others when told to do so by a “person of authority”
This can be interpreted as the sheeple following the herd against the unvaxed
That is a complete inversion of the facts.
Government started with a “shock and awe” fear campaign which they have not recinded. They set the tone. The electorate are responding in line with the official propoganda as anticipated by SAGE killers.
Government are indeed “followers” but they are following Davos et al orders. The electorate is largely a herd of sheep and acts accordingly.
I don’t think it’s a complete inversion in so far as there would have been some pressure from public and media based on what was happening in other countries, just as there was in Sweden. But ut’s undeniable that the govt deliberately stoked panic rather than calming it, so any defence that they had to react as they did for political reasons is untenable IMO.
The correct answer to your question is “because he is an immoral bastard.”
Yes but how so? Given that children are at no risk from this disease and given that the jabs do not stop infection or transmission, then there are three possibilities.
Take your pick.
Personally I think they want to get kids on the treadmill of a digital id and vaccinations for life.
There is the possibility that they are all a thick as shit and are blindly following the simple equation that tells them how many need to be vaccinated depending on the R number. With omicron its now going to be about 150% of the population. Which is a bit tricky without exhuming bodies and jabbing the unborn. Not sure they have worked that out.
This would be consistent with your third option.
My guess is its a combo of all 3 options with pressures for no 1 globally.
Yes, a thoroughly toxic potent runaway-train combo of all three.
🙂 ^^^^
Of course, they must be in one of the categories ‘rational’, ‘semi-rational’ or ‘irrational’ but there are many more possibilities than you give for those three categories. For example, implementing a global digital ID is not the only end that would make their behaviour rational, although it might be part of an overall strategy. Certainly these are not rational measures if the end is public health since they have done the polar opposite from what their pandemic plan required, and in the full knowledge that it would prolong the pandemic, increase the number of deaths overall, and cause untold misery far worse than if they had stuck to the 2011 pandemic plan. So we can be sure that the response of this government and many others across the world has not been to secure public health because from their own plans (and WHO’s) they all knew that what they were doing was neither evidence based nor best practice. The lurch into lockdowns had no exit route, so one must reasonably suppose that no exit (back to normality) was intended. Quite often bad things happen because of incompetence. However, there are two factors that mitigate against the ‘incompetence theory’, and those… Read more »
Excellent post.
You neglected to mention the obvious:
Genocide.
3, obviously. ‘Boris’ is a jelly under irregular pressure from all sides. Hence, he’s deforming in random ways.
All 3 – possibly – 1 definitely
I vote for 1. but I think that is stage 1.
I think the answer is simply, there is no profit in natural immunity. Just follow the money and stop scratching your heads. The more vaccination we take in current times, the more likely we are to need it again (and again and again) in future years – especially pandemic years. Hence nicely setting up Pfeizer and the like and their shareholders to become filthy rich beyond anything you can imagine, while the plebs get battered with the austerity needed to pay for this regular barrage of jabs on a yearly basis.
FOLLOW THE MONEY!
And the same is true of Big Tech, who, along with Big Pharma, stand to absorb the majority of the world’s wealth if there is a demand for stuff like digital IDs.
Politicians are obsessed with process above outcomes and with seeing to be doing something. They are obsessed with delivering vaccines rather than with achieving immunity.
Why?
He is only following orders.
As he said, he had no choice. Sounds like a man with a gun put to his head.
Yeah looks like whoever is running the show will “Epstein” any politician who goes against the grain.
The zombie parrots have been trained to squawk ‘vax good, no vax bad’, and as they have no brains, there’s no reason why they should not go on squawking it for ever.
“vaccinate children to keep schools open….”
Not, inject (they’re not vaccines) children for their own health??
Not, children have a 0.001% chance of deleterious health outcomes from COVID infection
Not, children have a 7/1 ratio of adverse affects including death to life saved from COVID
Did anyone in the room counterpoint this psychopath?
Stay away from my kids. That’s a red line and a terminal one if they cross it.
Closing schools for a common cold is a political decision based on caving into union demands and as a form of blackmail, the alternative to which is;
Jabbing kids against a common cold which is a political decision made outside of Westminster and the entry requirement for the social credit system.
Neither have anything to do with health or wellbeing of kids.
Johnson should just come clean and admit he’s not in charge.
Time to hit the streets. Join the demonstration.
Sat Dec 18th, 1pm London Parliament Square
Join Telegram groups –
https://t.me/dailyexpose
https://t.me/Not_On_The_Beeb
The most infantile of adults blames the children – go and play in the sandpit forever BJ – and stop snivelling.
Answer: because it’s not about health. Johnson follows his orders.
Not sure about “orders”, but certainly biased and bad advice, presumably so that he can follow his usual practice of blaming everyone except himself.
Being a dedicated cynic, I also consider the cui bono factor aka follow the money.
Johnson is a monster and I look forward to the removal of him as Prime Minister, followed by his eventual trial, and hopefully incarceration. He has been nothing but a disgrace and he has brought great dishonour to this country and Parliament.
The spiritual, psychological, emotional and physical damage he and his ilk have caused will take a generation or two to correct.
He should serve a life-time sentence for what he has done.
Sadly I don’t think it would matter who was PM at the moment. The system itself would always ensure someone who will do its bidding will be at the top.
Nothing to do with him. He’s a sheep like the rest of them. We need a UK version DeSantis
I know, but a start has to be made at some point. At the moment it is far too easy for those who are complicit in these crimes against humanity, and they are getting away with it.
I agree with your comments largely however I think the psychological, emotional and physical changes wrecked upon the people of these islands will be pretty much irreversible and certainly not undone in just two generations.
Some of us will at least die with fond memories of the freedoms we enjoyed but for the young the future looks fugly however this pans out.
Watch your words or Boris will get his mate Darius Guppy to crack a couple of your ribs! Etonian thugs, that’s all they are.
And Starmer. But Boris much more, obviously.
They were always coming for our children. They can kill off the old ones but they also need to control the future so they dont have to do this all over again. Billions of plebs are consuming too many of the resources the elite wish to keep for themselves. This is why they meet regularly to discuss ways of lowering the population under the guise of sustainability. Prince Philip said he wanted to be reincarnated as a virus to kill billions of people. Obama’s Chief Scientific Officer John Holdren called for forced abortions, “compulsory sterilization,” and the creation of a “Planetary Regime” that would oversee human population levels. He also hatched a plan to secretly add sterilising agents to US water supplies. Johnson himself said that he would not shy away from tackling the difficult questions when it comes to depopulation. If this is what they say in public, just imagine what they plan in secret.
He got the depopulation stuff from his dad who wrote a book about it in the 1980s.
Correction, that was bozo and his dad, Charlie probably soaked it up though.
Yes, Stanley spent most of his working making a killing out of advocating depopulation.
While personally repopulating.
Prince William, the man who breeds like a f@king Rabbit. His wife must a have fanny like a wizard’s sleeve!!
Two words William F@ck Off!
People who say “There’s too many people” for some reason rarely take their own advice.
Spot on.
How is it these population reduction merchants never volunteer to show us plebs the way?
In the last days of the 3rd Reich, Hitler sent teenagers to be butchered by the Soviet army knowing full well all was lost.
His best mate Goebbels killed his own children,
People can do some truly horrific things when they are desperate and not thinking straight.
The Germans have recently shown themselves the funny side of that. See their movie Jo Jo Rabbit.
o/t but after months of being told that my very larger GP Practice is only ‘commissioned’ to provide boosts for 75yo+. This text arrived (presumably to their entire patient list) indicating all of their resources are suddenly being transferred to the booster programme.
That this is political in nature is made clear by their opening remarks about bozo Speech To The Nation and their bizarre assumption that everyone watched it.
What fucking idiot thought that it was a good idea to commandeer GP surgeries to do the vaccine when there are village halls etc empty?
I don’t know where the boosts will take place but if they are ‘discouraging’ routine appointments the GPs might as well stay home since they won’t be doing lowly jabs themselves.
It occurs to me that this sudden rush to get involved, at the expense of everything else, must mean the government has finally come up with a sufficient BRIBE.
Probably the use of GP surgeries, irrespective of who wields the needles, will provide the GPs with £15 per injection. A nice little earner, in much the same way as being paid to have “patients” on the books, for whom medical advice and treatment is now not provided.
The first two jabs earned Practices £25 a pop.
I imagine they have been holding out for more like that before becoming more involved.
The profits, of course, will all be going to the Partner GPs but at least the others will be able to put their feet up until the New Year.
It’s £30, isn’t it, for boosters?
Likely the same person who drew up the protocol for registering Covid deaths as any death within 28 days of a positive PCR test regardless of actual cause of death. Whoever that person or those people are have blood on their hands and should be hounded by the forces of good trying to re-instate the law in this country. We have a right to know the names faces and connections of the people actively engineering these crimes, blatantly undermining British democracy and law, they need to be named and shamed and prosecuted
The “28 days” thing was a humiliating climbdown for Hancock and others who took a month to confess that until then anyone who died of anything at any time into the future who had tested positive was put down as Covid dead.
The catalyst for the climbdown was when it was pointed out that if bozo, ‘Covid Survivor, was subsequently assassinated or run over a bus he would count as Covid dead.
UK total Covid deaths overnight (June/July 2020 from memory) went down from 60k to 40k as a direct result.
Churches too – they are very keen on ‘vaccination’ these days – The Baptism of Pfizer.
Good point ref assumption that watch TV, govt press conference news, etc.
How perversely, utterly SICK is that?
“Grab a jab.”
Talk about demeaning a life threatening procedure.
Yeah, I noticed but not yet looked into “Grab a Jab”.
Wasn’t “Grab a Bag” the tagline for a confectionery advert many years ago?
Update on this post to be posted on lead article in a few minutes.
👍
Talking of sick… let’s not forget this old tripe:
https://www.youtube.com/watch?v=CPjoQ3XpzkM
The UK Government have been told to buy these so-called ‘vaccines’ – probably bribed and threatened to do so. That is all. Like every other government around the world. So… what next? I reckon this: Next Saturday there will be a bit of placard waving in Parliament Square and shouts of “Freedom!” By 4pm people will start thinking about what time they should leave to catch their train home. Boris and pals are going to have a go at jabbing the 5-11 year olds in the New Year. People will moan and groan about this, but no-one will actually stop them, just as nobody stopped them from jabbing the 12 year olds and up. Lots of people will get their 3rd ‘booster’. No-one will know the percentage as both the ‘official’ figures, and those given by the ‘opposition’ are made up. Those who have had their 3rd shot will have their ‘Vaxx Passes’ extended and be rewarded with ‘privileges’ that the ‘unvaxxed’ will not have. Those who don’t want these ‘vaccines’ will either be persecuted, or just ignored… new generations are growing up all the time, teachers are indoctrinating kids to believe in face masks, regular ‘vaccines’ for ‘Covid’, this… Read more »
Wouldn’t bet heavily against it.
What is being said publicly about this pseudopandemic does not align with what is known and never has. On December 10 the UKHSA published details showing that those who had received two doses of the AZ vaccine now had deeply negative vaccine effectiveness against Omicron, so negative that for much of the time it was off the scale (worse than minus 60%). It is completely official and known therefore (but not disclosed publicly to the masses) that the government have induced people to take a drug that makes them much more likely to contract Omicron than if they had never been vaccinated. The next day (December 11) a report was published co-authored by Jonathan Van-Tam showing that vaccination suppresses antibodies to Omicron – that every person studied except one who had been double vaccinated with AZ produced no antibodies (or, strictly, the amount was below the detection threshold). He also admitted that he had no idea what the booster shot would do. Here are his words with my bold: In summary, there was a substantial fall in neutralisation titres in recipients of both homologous AZD1222 and BNT162b2 primary courses, with evidence of some recipients failing to neutralise at all…This will… Read more »
Do you have any links for those?
If yes, I’ll post on another forum where they’re fussy about people saying where they got their info from.
Thanks.
https://assets.publishing.service.gov.uk/government/uploads/system/uploads/attachment_data/file/1040076/Technical_Briefing_31.pdf
https://www.medrxiv.org/content/10.1101/2021.12.10.21267534v1.full.pdf
Here are extracts of images showing just what two does of AZ vaccine did in respect of vaccine effectiveness against Omicron – note how deeply negative.
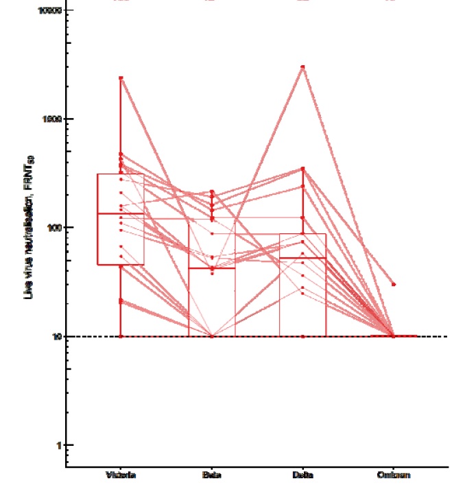
See separate response for image of the effect of two doses of AZ on neutralization of four variants, ‘Victoria’, Beta, Delta, and Omicron. The dashed horizontal line is the limit of detectability.
Effect of two doses of AZ on neutralization of four variants, ‘Victoria’, Beta, Delta, and Omicron. The dashed horizontal line is the limit of detectability.
Yesterday there was a live technical briefing by the Dutch OMT, where MPs could ask questions. They showed Figure 7 from England tech. briefing 31 to indicate how serious things were and that boosters were necessary – also used Pantsdown’s calculations for the gazillion people a day that could end up being introduced into hospital, saying that could lead to 600 admissions a day here in NL – I think the highest we ever had was around the 200 mark in the very first wave. In any event, one MP, I believe a member of the party most critical of all of this nonsense, said the figure showed negative effectiveness, what did that mean. The prof. heading the OMT just said that was wrong, it was zero. The MP asked again, pointing out that it clearly shows negative, the prof. again said no, it did not go beyond zero. Utterly ludicrous – why show a figure you are claiming is incorrect, or if nothing else, explain why it shows negative but the expert showing it believes there is nothing below zero. Literally telling us not to believe what we see with our own eyes. Not overly impressed that the person… Read more »
I said similar to my husband. He thinks I am being dramatic. Consequently we are both going to do a list of predictions for 2022 and see who gets the most right. Unfortunately the prize is unlikely to be the holiday in St Lucia we had planned (or anywhere, come to that – how long before even British hotels and holiday rentals are only accessible to the vaccinated?)
Not cheery – but I am going on Saturday just to see and be with like minded people and remind myself that i am not alone.
Utterly unethical, disgraceful. First do no harm anybody? Whitty’s original argument for vaccinating the children was psychiatric – this was also the argument for bringing in masks. Nothing to do medical benefit.
I’m not sure why the question has to be asked but it’s pretty simple now:
If children are vaccinated with this they’re already in the system from an early age. Getting as many people jabbed is the end game. I know Toby doesn’t like to think it’s some sort of global agenda and more down to incompetence, but you’d have to be pretty thick and brainwashed by it all now to not think otherwise with what’s happening around the world.
Even if you don’t believe in the WEF conspiracy, which I don’t, getting kids jabbed is still all about getting them into the system, the system of three monthly boosters for ever. Getting two shots into kids was probably a condition of Pfizer granting the UK preferential supply. There will be a new round of vaccination in the spring against the Omicron scariant; everyone will return to zero and travel will be dependent on two doses of the Omicron vaccine.
They will tell everyone, “this time it will work” (it won’t) and the sheeple will queue up. Then it will be omicron boosters every three months until the next scariant comes along and it will be rinse and repeat, again…
They’ve made no secret of wanting a global passport for many years, the secret was how they would do it and now we know. For individuals now who are critical thinkers, it to stay out of the system. No one knows if it will work, it may not or not as well as they think, so staying out it if possible seems to be the best plan.
everybody should get out and about – lets have this thing wrapped up by New Year
My read of behaviour is that many people are not afraid of the virus (if that is even the cause of this illness) but are afraid of a positive test. Various lunches I was due to attend were canceled last week because people who were planning to travel overseas for Christmas did not want to run the perceived risk of a positive test from human interaction. It is a rational reaction to what is going on if one believes in the Germ Theory model. The government has literally gone off the rails though. It is embarrassing to watch. They are behaving the way that demagogues in the past behaved with respect to wars on foreign countries. Tom Cowan (one of the proponents of the view that viruses are not the cause of illness but poisons are) describes this as a pandemic of not thinking. I see very few data points that contradict this. The only silver lining is that a large number of MPs seem to be seeing through this now and there is serious political opposition. Reader comments in newspapers such as The Telegraph (whose news desk position is to fuel the panic) seem almost overwhelmingly sceptical. Just a… Read more »
Boris Calls For Vaccination of Children to Keep Schools Open – But Why When Almost All of Them Have Had the Virus?
Because, as I posted elsewhere, this is not about a virus. Johnson and the Cabinet are abusing the secondary legislation process to trample all over British freedoms at the behest of globalist institutions. We need people who are senior in the government machine to start pressuring Johnson to stand down, now. It might seem unthinkable, but it’s time to stop this insanity, including the abuse of our Constitution that is allowing it, and if that means a major overhaul of things, then so be it. The government is failing the people and it’s time for a shake up.
And who will we get if Johnson goes? There are plenty worse!
Gove or Sunak would not even be mildly amusing on occasion.
Don’t go, Boris – we love you!!!
Boris Calls For Vaccination of Children to Keep Schools Open – But Why When Almost All of Them Have Had the Virus? Perhaps Bojo should read this, from Dr. Robert Malone, inventor or mRNA vaccine therapy: “My name is Robert Malone, and I am speaking to you as a parent, grandparent, physician and scientist. I don’t usually read from a prepared speech, but this is so important that I wanted to make sure that I get every single word and scientific fact correct. I stand by this statement with a career dedicated to vaccine research and development. I’m vaccinated for COVID and I’m generally pro-vaccination. I have devoted my entire career to developing safe and effective ways to prevent and treat infectious diseases. Before you inject your child – a decision that is irreversible – I wanted to let you know the scientific facts about this genetic vaccine, which is based on the mRNA vaccine technology I created. There are three issues that parents need to understand before they take this irrevocable decision. The first is that a viral gene will be injected into your children’s cells. This gene forces your child’s body to make toxic spike proteins. These proteins… Read more »
Please flag this up to Topy and the team (beyond my skills on an Android).
It deserves much wider exposure.
Why?
To perpetuate rhe myth that vaxxes stop transmission.
To sell more vaccines.
To create vax dependency.
To instill fear.
See the graphic for Dr Robert Malone (inventor of MRNA vaxxing) advice …
Anyone else feel uneasy when they see that message “get boosted now” on Boris’s lecturn? Not just the content of the message, or the colours and chevrons used, but what’s with the yellow “O”? Is it supposed to stand for Omicron? Is it an all-seeing eye looking out for those dirty refuseniks? Whatever it is, I’m sure it’s some kind of brazen psychological manipulation of the masses intended to subconsciously influence people’s behaviour, maybe trying to reach those not yet hypnotised by these bastards.
I saw the big yellow O as well and wondered what it meant.
Well it appears none of us on here know what the big yellow “O” stands for therefore I conclude it’s a huge bloody failure.
Yet again the propaganda slogan comes in threes, as thought by Mr Goebbels.
Ah, of course.
Re the capital ‘O,’ perhaps it’s a little Davos spin on “Oww, that hurt.”
Hurt as in dead. They do like their hidden in plain sight jokes.
C O V I D – confirmation of vaccine I D.
OMICRON – Moronic.
Cominarte – come here naughty. And others.
It means you will Own nothing and be
happymiserable.All Seeing Eye?
Further to my post above about my GP Practice suddenly getting all keen on boosting everyone while ignoring all other actual ailments.
Less than 24 hours after receiving my digital link to book my booster they have sent me a personalised reminder because they ‘know’ that I have ignored it.
How much more such harassment will I have to undergo while they ignore my requests for action for real dicomforting and dangerous conditions?
“Oddly” i have received no communications but i did ignore TnT and all previous invitations to harm my health with a clot shot.
People at large are purely and simply brainwashed.
My opposite neighbours yesterday: oh we have taken out son out of school. There’s so much covid around and we wanted to be safe for Christmas.
My wife’s friend on declining her little boy to come and play with our boy: oh well we are quite a vulnerable family so we won’t…
Chap on the phone: it’s probably best working from home, much safer than being in the office with all this covid about.
I will explode soon at some stupid covidian when they sprout this utter crap!!!!
Meanwhile, Johnson’s MPs have a plan. We will, overall, agree to whatever you put forward so long as you threaten to do something worse.
Of course, we do have a Parliament and, supposedly, a matching bunch of lacklustre individuals across the aisle jokingly known as “The Opposition”. Starmer is no less culpable for a lot of this than Johnson, with Labour now Red Tories, and falling in with just about everything, including this monstrous idea.
Mike Graham on TalkRadio this morning was speaking to some political commentator, whose name I missed, and posited the question as to why Starmer didn’t side with the Tory rebels to bring down Johnson. I nearly choked on my toast when the reply was that Starmer/Labour wouldn’t want to be seen “playing politics with public health”. That rotten crew have done nothing but.
The real problem is the near-total by-passing of parliamentary scrutiny and votes by the Cabinet’s abuse of secondary legislation. Blair started it. Everyone since then, including this fat clown, have been steadily destroying the very careful and delicate balance of power in Britain.
No. It started way back in the Thatcher era, and has grown ever since.
Current thoughts on quarantining by reputable experts in the land of Omnicron: quaratining(self isolating) because someone near you tested positive is completely pointless, as is contact tracing. Obviously even more so for children. https://www.dailymaverick.co.za/article/2021-12-15-covid-19-in-south-africa-its-time-to-ditch-quarantining-and-contact-tracing/
And if test positive only isolate for 5 days.
https://www.dailymaverick.co.za/article/2021-12-15-public-health-experts-propose-relaxing-existing-covid-regulations/
Sadly they do still go on about masks indoors(and vaccines).
Currently case fatality rate in Western Cape with Omnicron is less than 2% of the rate in previous waves.
Time to endure a common cold and get on with life.
Getting governments to spend their money on vaccines instead of all of the other necessary operations and health treatments seems to be the plan. Then to pay for all of the continuing vaccines, charge people more for everything else. Its not about a virus its about the money
This is why nobody, never mind children shouldn’t get vaccinated, and it disproves the governments claims that vaccines save lives.
These figures are taken from official government data that any one can access.
UK Figures
1/1/20 to 7/12/20 ( before vaccination started ) 61,434 covid deaths
8/12/20 to 13/12/21 ( vaccination ) 85,043 covid deaths 23,609 more deaths
World Figures.
1/1/20 to 31/12/20 ( Mostly no Vaccination ) 1,951,575 covid deaths
1/12/21 to 13/12/21 ( Mass Vaccination ) 3,377,562 deaths. 1,825,987 more deaths
It’s all very well for Boris Johnson to play fast and loose with the health of children – at the rate he knocks them out he can afford to lose one or two.
Well, a reduction in the Johnson gene pool certainly has its attractions.