
After 14 months of house arrest and harsh restrictions on life for 67 million people, imposed dutifully by Boris, on instruction from his masochistic overlords in SAGE, we have ended up right where we began in March 2020. With SAGE predicting a new wave of infections that, despite all vulnerable groups being vaccinated and a significant build-up of natural immunity, will overwhelm hospitals in a wave potentially three times the size of that experienced in January. Yet rather than admit lockdowns have been a futile endeavour, SAGE still maintains that lockdowns are the best thing to reach the U.K. since sliced bread. The latest paper by SPI-M explains: “There are still too few adults vaccinated to prevent a significant resurgence that ultimately could put unsustainable pressure on the NHS, without non-pharmaceutical interventions.”
Behind the renewed doomsday predictions is analysis done on the clusters of the Indian variant in the U.K., which estimate that it is “more transmissible than B.1.1.7 and that 50% more transmissible cannot be ruled out”. The B.1.1.7 (Kent) variant itself had a similar increase in transmissibility compared to the original virus. SAGE has yet to ask itself whether it could be the evolutionary pressures of NPIs themselves causing Covid to become 50% more infectious every six months, but they waste no time in using the increased transmissibility to predict a doomsday event – see Warwick’s predictions below.

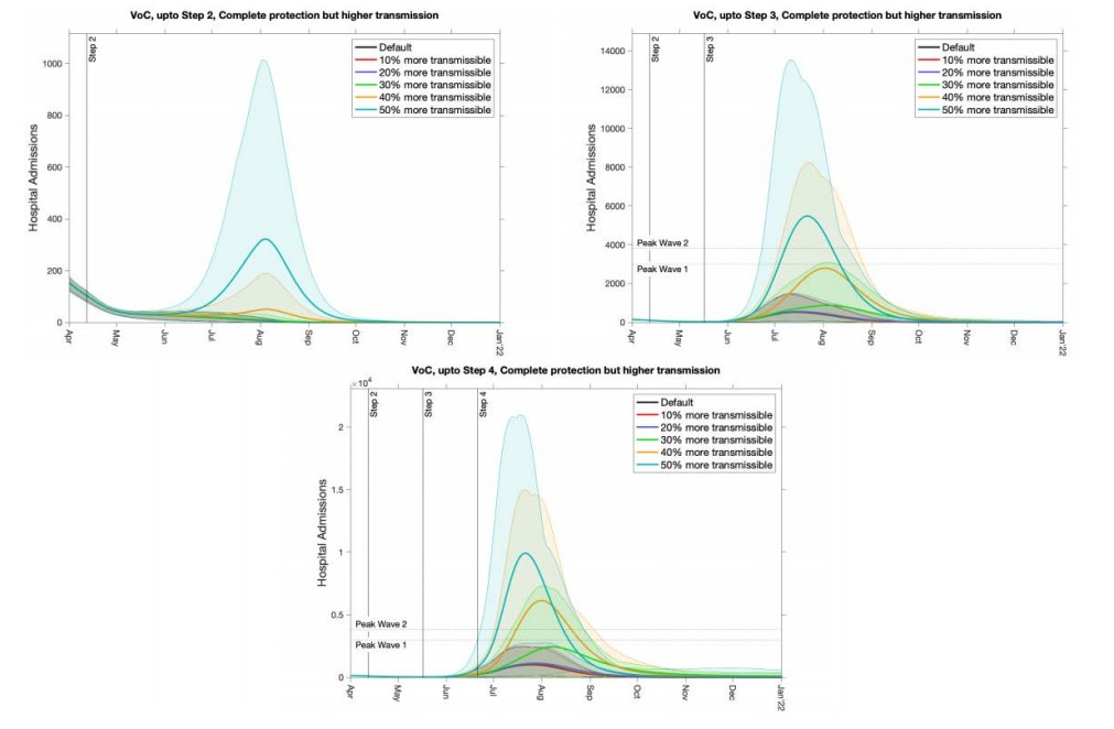
The lower, central graph projects hospital admissions for new variants with differing increases in transmissibility, assuming “complete protection” from prior infection and vaccination and steps three and four of the roadmap continuing as planned. The central estimate for this scenario with 50% increase in transmission is the thick blue line, showing a peak in hospital admissions of 10,000 per day by the middle of July. This is about three time the number of admissions in the January peak. I shall attempt to elaborate in maths, simple enough even for Labour MPs to understand, with real data, why this projection is ridiculous. So, do email this to your MPs (particularly if you live in Uxbridge).
At the last peak in January, there was practically no immunity in the population from vaccination and significantly less immunity from prior infection. In the first week of January, when infections peaked, the ONS estimated that over one in 50 people in the U.K. were infected with Covid – 2% of the population. This Warwick scenario assumes that the vaccines are as effective against the Indian variant as they are against the Kent variant. Thus, we take Warwick’s own efficacy estimates for the vaccines of 80% and 90% for one and two doses respectively against severe illness and hospitality. We couple this with the reality that by July all adults at even minor risk of hospitalisation will have been vaccinated twice and even 20-year-olds will likely have had one dose by then. If all adults have this protection, then to just reach the peak of the second wave, between five (1/(1-0.8)) and 10 (1/(1-0.9)) times the number infected in the week covering the January peak would have to be infected in a single week in July. That is between a tenth and a fifth of the population of the UK.
To reach admissions three times the January peak, as the model projects, with a vaccinated population, this would mean that between three tenths and three fifths of the population would need to be infected – all in one week in mid-July – just to reach the central estimate projected. Then, the upper confidence interval, shaded in blue on the graph where hospitalisations reach 20,000 per day, would require between six fifths(!) and six tenths (120% and 60%) of the UK population, to be infected in one week. In other words, everybody in the UK would need to be infected and some twice, in one week in July, for the upper bound of Warwick’s projected doomsday scenario to be realised.
Clearly, to anyone who can do back-of-a-fag-packet calculations and type “ONS” into google, these projections are ridiculous and epidemiologically impossible. Yet there were 39 “scientific experts” attending SAGE meeting 89 at which these predictions were rubber stamped for the eyes of the Prime Minister. Is the groupthink so bad that none of them could do a few quick and simple calculations to verify the models were projecting things in the realm of what could be considered reasonable? Or do they not care? SPI-M are so attached to their modelling that they are not even testing it against basic numeracy to verify it.
Now, the above calculations are obviously an over-simplification. A small minority of vulnerable groups will choose not to take the vaccine, adding to potential hospital admissions. Yet the oversimplifications in the modelling are worse. For instance, none of the models consider the heterogeneity of social contact structures, beyond adding small variance by age group. The models assume somebody who is a highly social person, working in a bar, commuting on public transport and living in a shared house and thus coming into close contact with hundreds of people per day, is the same as somebody who lives alone, with a quiet work and social life, who only meets a couple of people per week.
This is important because in a pandemic the highly social bartender in this example is far more likely to be one of the first people to catch the virus, due to the high number of contacts he has. It is also the case that once he has caught the virus, because of his number of contacts, he is then likely to be a “super-spreader”, with hundreds of contacts to potentially spread the virus to. Hence, at the beginning of the pandemic, the “super spreaders” are disproportionately infected early on. As these “super-spreaders” are knocked out of the chain of transmission early, the R-value will naturally fall sharply at the beginning of a pandemic. The effect this would have had on the reduction in R during the first wave was ignored and thus attributed to the lockdowns by the SPI-M teams. Hence, it is one of the reasons why their models keep massively over-projecting deaths and partly behind their overestimation of the effectiveness of lockdowns.
I contacted members of both the Imperial and LSHTM team regarding this oversight in February. Both acknowledged it was likely to have an effect and both gave, as the reason for not including it, a lack of exact quantifying data on the issue. This is the same response I was given for the teams ignoring seasonality and their excuse, given in the recent papers, for not previously including that vaccinated people who become infected cause less transmission than those who are unvaccinated. This would be perfectly legitimate, were it just an academic exercise, but when the modelling is used to shut down a country for over a year it is quite the opposite. Ignoring important elements impacting the transmission dynamics of a virus because it is difficult to quantify with current scientific knowledge is an abuse of the trust ministers and MPs put in SAGE to offer them accurate advice. The models are not even close to modelling reality and SAGE needs to admit that and stop using them to advise policy and cause hysteria amongst the press.
For those interested, here is a paper which illustrates how the heterogeneity of social contact structures reduces the threshold required for herd immunity compared to that required when immunity is obtained through a uniform vaccination programme.
Going forwards: if all restrictions are lifted on June 21st and there is no resurgence in deaths, SPI-M and consequently SAGE will be made to look like muppets. If his scientific advisors force Boris to keep restrictions, they can pretend it was thanks to this when there is no resurgence and maintain their saviour complex, rather than admitting to being scientists who have unnecessarily destroyed lives and livelihoods on the back of dodgy science and incompetent attempts to model something beyond their capacity. For SAGE, prolonging restrictions is a win-win on all fronts.
Fortunately, though, we can find sanity in the free American states which have vowed not to reimpose restrictions. The Indian variant is present in the U.S.. If it is 50% more transmissible and the models are accurate, then the same massive resurgence in hospitalisations and deaths predicted for the U.K. will happen in Florida and South Dakota. If Boris maintains Lockdown restrictions in the U.K. and there is no resurgence in Florida, then it will be clear that all the damage caused by those restrictions was for nought.
MPs and scientists cannot ignore the realities playing out in the U.S. forever – though, at present, they remain more dogmatically attached to their failed policies than ever. In the minutes of SAGE meeting 89 (the most recent), you can find this:
The “earlier, harder, broader” principles of responding quickly, taking strong measures, and doing so over a wider geography than where the issues have been identified in response to outbreaks, remain relevant. Testing, tracing and, in particular, isolating cases remains very important.
In other words: “ignore reality, double down and just keep digging” is the policy of our “experts”.
UPDATE: From the exact data on peak hospitalisations, 10,000 is 2.4 times the January Peak, rather than the three times I used above (having estimated from the Warwick graph rather than use the exact data). For the sake of accuracy, to set a good example for SAGE and to watertight this piece for use in argument by readers: using 2.4 times, the percentage of the UK required to be infected in one week to reach 10,000 hospitalisations per day would be 24% to 48% of the population. Then for 20,000 hospitalisations per day, it would be 48% to 96%, using central efficacy estimates from the Warwick paper of 80% and 90% for one and two doses respectively. The main point, to show the magnitude of how silly the projections are, remains unchanged
Glen Bishop is a second year maths student at Nottingham University.