The Global Great Awokening
David Rozado has become something of a household name here at the Daily Sceptic, thanks to his pioneering studies on wokeness. You know those charts showing sharp upticks in the usage of terms like ‘sexism’, ‘racism’ and ‘transphobia’? He’s the guy who made them.
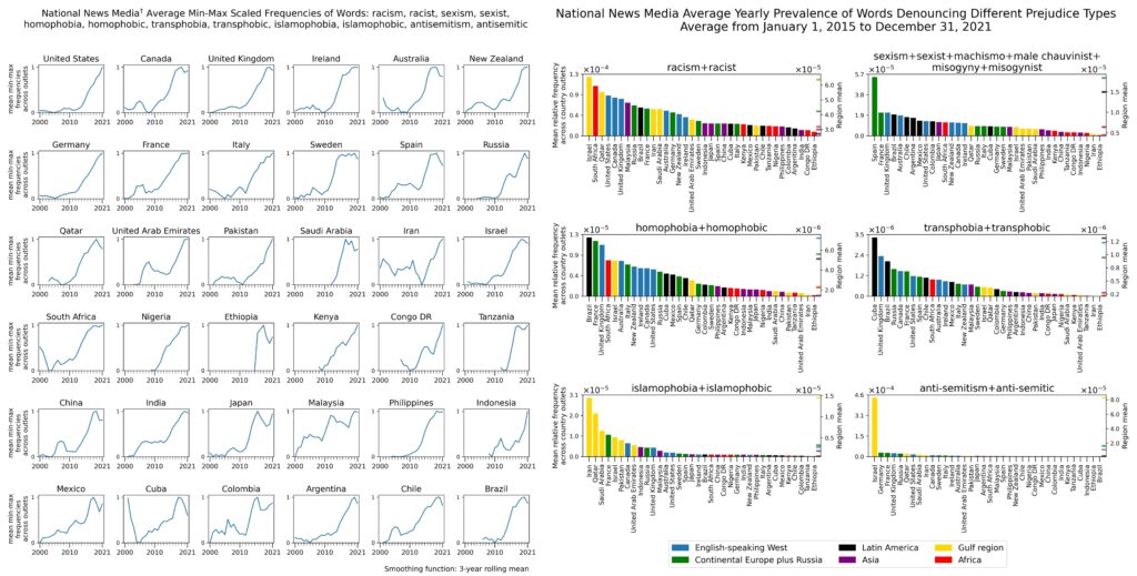
Until recently, he’d confined himself to studying the Anglosphere and his native Spain. Rozado has now extended his analysis to dozens of other countries, and what he finds is pretty remarkable: The Great Awokening is a global phenomenon.
In almost every country Rozado looked at, there was increase in the frequency of what he calls “prejudice-denoting terms” beginning around 2012. As the left-hand chart below indicates, this was true even in countries like Kenya and Nigeria – where you’d assume people would be more concerned about things like poverty.

The chart uses a standardised scale, which makes the trend in each country visible while masking average differences across countries. So what do those average differences show? When Rozado plotted them separately for each type of prejudice, the results were quite interesting (see right-hand chart above).
As you’d expect, mentions of ‘Islamophobia’ were most common in Muslim countries, while mentions of ‘anti-semitisim’ were by far the most common in Israel. And mentions of ‘sexism’ (and related terms) were most common in Spain. For the other three types of prejudice, the pattern was less clear, though the UK came close to the top on all three.
Perhaps the most interesting finding to emerge from Rozado’s analysis is that the big increase – the “woke hockey stick”, as I’ve named it – appears to be more or less simultaneous in all countries. This is somewhat surprising. Most of us had been assuming that it occurred first in the US, then in other Western countries, and then (if at all) in the rest of the world.
Among Western countries, the US does appear to be a front-runner on mentions of ‘racism’, as you’d predict, though the margin isn’t huge. (Russia has also seen a big increase, though Rozado believes this mainly reflects commentary mocking the Western media’s preoccupations.)
So did the Great Awokening originate in America, as most of us had been assuming? I believe it did. Though I also believe it was amplified in many countries at the same time through social media.
As to why the phenomenon probably did originate in the US, you have to remember that non-Americans read American media far more than Americans read non-American media. What’s more, many influential journalists and activists in countries outside America go to study at America’s elite colleges, where they imbibe the tenets and language of woke ideology.
So you’ve got many influential journalists and activists all around the world reading American media and regurgitating what they learned at US colleges. Then social media hits. And because that’s where influential people congregate, articles couched in the latest woke jargon frequently go viral, causing less-influential people to adopt the same jargon in their own articles.
Soon everyone in the media of a particular country is using terms like ‘patriarchy’, ‘transphobic’, and ‘people of colour’.
My argument is admittedly somewhat speculative. But that doesn’t mean it can’t be tested. You’d have to go back and see which articles went viral first, and who wrote them. I suspect that English-speaking journalists, especially those who studied in America, would be overrepresented among the authors.
To join in with the discussion please make a donation to The Daily Sceptic.
Profanity and abuse will be removed and may lead to a permanent ban.
A more important question would be; is this a fad like punk, or #meToo, or is it a full blown transition to a new era like say the renaissance (an anti-enlightenment perhaps)?
In ten years time will biology science books that describe sex as being XY or XX be just as antiquated as astronomy books that list pluto as a planet or medical texts from the middle ages that recommend blood-letting and leech therapy? Or is it possible that LGBTQ+{insert this weeks addition here} will collapse under the weight of its own contradictions and implode like a star that burned bright but then could not sustain its gravity?
I’d say the latter, no way is this a passing fad, and the problem is it will only get worse and I don’t know what people are supposed to do about it that will result in meaningful change. I mean, the cult of Woke is now in all educational establishments, starting with little kids, as we’ve witnessed. It is insidious, like a growing infection, spreading throughout our societies and affecting all. Woke is a powerful weapon for the globalists because, to successfully implement their agendas, unity of the masses is their greatest threat, therefore division of society is absolutely necessary to achieve their aims. Woke is the real pandemic. ”A one liner definition? Here it is. Wokism is a deliberate and malicious rerouting of the innate desire for respect. I mean, how absurd is it when a kid is taught that firing people or kicking people out of restaurants for declining a medical product is fair (and an appropriate punishment for the selfish, unfair, and, frankly, subhuman types), that censoring dissent is good for freedom—but the use of an unwanted pronoun is a dangerous and violent act? Methinks, it’s very absurd! But this absurdity is by design. A wounded person in charge is… Read more »
I’m not sure about its trajectory. Is this really the best that our natural human evolution can do? In some ways, when I take off my indignant hat, I see that if society is allowed to develop naturally, we all end up brown at some distant point in the future. But do we end up asexual too? That bit doesn’t make any sense because how would you ensure the continuation of the human species? Woke is a cul-de-sac because it offers nothing creative or life-affirming and instead is about forcing square pegs into round holes. Megalomaniac psychopaths might wish to control our futures, through such ideologies, but they too are subordinate to the laws of nature as much as they try to rise above them. They are not gods, they are the bad apples of the human species and like bad apples in other species, they will wither away at some point. Their own fear will be their Achilles heel. This might be nuts so please indulge me but I feel that within us, as a species, there is some sort of evolutionary navigation system that constantly rights itself when it starts straying from the path. It has seen off… Read more »
Heehee, I always enjoy your posts/musings so it’s a thumbs up from me! Well said that man. 😉
Cheers, Mogs! 🙂
Hopefully the latter.
The end of Western Civ. Trannyism is the expresion of a perverse, demonic, satanic, Mason-built non-culture. It refracts our civilisation’s discontent and demise. It is anti-biology and deviant, evil sexuality degeneracy. That is all it is. A mental disease.
I was against Queer, yes Queer not Gay marriage long, long ago. My argument was the slippery slope. Now look at us. A penis means vagina, a woman no longer exists.
The end of Christianity and post truth, post reality world.
Men are women. Abortion is health care. Euthanasia is mercy. Gender biology is now anti-science. Your immune system does not exist. Only drugs macht healthy. Whites are to be attacked and demonised. Western Civ itself is a sin. Christianity which built the modern world, a ‘superstition’ unlike say, belief in Darwinism, The Shit happens, ‘the science’, ‘The Rona’, Tranny mental illness, the moon hoax, or the Climate thingy. All 100% scientific I am told.
F* Western Civ in its current form. It deserves to die.
Powerful comment, and the worrying thing it is all true. But as someone once pointed out “All that it takes for evil to succeed is for good men to remain silent”. We are all staying far too silent and for too long.
Meanwhile, back at the fort, I have no doubt that Vlad the Bad, Winnie the Jinping, the Ayatollahs, Schwab the Dr.Evil, Sleepy Joe and all the gang laugh themselves to a peaceful sleep 365 nights per year.
Seems to me as if the real mental disease is a grossly inflated sense of doom.
AI is going to get us, if not climate change, if not a lab engineered virus, if not nuclear war, if not hoardes of woke lunatics, or bigoted monsters (depending on your view).
When in reality most of us are going to live to a ripe old age, longer than any generation before us and in perhaps the best material conditions ever.
I admit to succumbing to that tendency myself from time to time. The covid terror perpetrated by governments over the last 3 years has left us all with a bit of PTSD.
But I do try often to look at the real world and every day life and generally what I see is good.
Too much government and regulation. Other than that, all pretty good.
Oh dear, is the DS becoming an echo chamber?
Sometimes. What disappoints me most is receiving downvotes without any counter argument being offered. Not exactly sceptical.
Before covid I would have agreed with you 100%. Now my position has moved closer to that of FerdIII. In truth none of us know. Perhaps it’s best to steer a course somewhere between complacency and panic. Do what you can to push things in what you feel to be the right direction while living your life, look after your family etc.
Things have always gone in cycles but what worries me most is the ease of control afforded by technology. That could be a game-changer.
But remember that you can like/dislike without actually having an account. I think that these people are what make up the majority on this site, certainly it is the reason this site is over-run with misogynists anyway. People are too tight to spend 5 or 6 quid ( depending on your currency ) but are keen to like/dislike a comment willy nilly. Why do you think I get 30 ‘dislikes’ when I make a comment about feminism or women’s rights but only 1 or 2 people bother to debate with me? Speaks volumes of the calibre of someone’s character, no? The mistake people make, of course, is that they expect me to treat the place like a popularity contest, just like they do, more fool them! 😉
Yes, I guess there are guests.
Regarding womens’ rights etc, that has been somewhat divisive. It’s good to debate but perhaps sometimes best to leave certain things alone and focus on what we have in common.
Human rights then. I believe that far from being a driver in this area I’ve only ever responded to certain individuals with a necessity/obsession to hate on women. And if anyone thinks that sexist shit should go unchallenged then they can jog on. That’s fair, right?
I honestly don’t think stewart “hates women” or posts “sexist shit”. But then I am not a woman, so I’m reacting as a man. Perhaps as a woman I might see it differently. I tend think all identity politics is best avoided. I mean, I’m a man, English, etc, but those things don’t define me or put me in a box.
Yes your bias cannot be ignored. If anyone, after all that has come to pass and been shared on this site thus far, thinks that all things ‘Woke’ are to be blamed on women/feminists then they are willfully blind with a generous sprinkling of delusion. The misogyny being the over-riding theme throughout. To blame a particular sector of society at this point in time is just tragic. The world and their dog knows who’s driving this thing. Globalists come in 2 genders, sorry to refute your hypothesis, not.
I’m certainly not saying that all things “woke” are to be blamed on women, and I don’t think stewart is either though he must speak for himself.
I think women should have the same rights as men. I’ve never said anything didferent. And under the law they do.
My argument on here has been pretty consistent, namely that current anti racist, pro homosexuality, pro trans movements have borrowed from feminism, the way it seeks out grievance, exploits victimhood and in some way negates realities that are inconvenient.
I don’t think feminists do women any service anymore than chauvinists do men that much service either. I find both narrow minded and devisive.
To be honest, I haven’t been called misogynistic on my life except on here by a few people. I put it down to it being quite hard to present unusual, nuanced arguments in a comments section.
In any case I really don’t get the name calling other than to try to shut someone down. It reflects intolerance more than anything else.
Marxism seeks out grievance, exploits victimhood and in some way negates realities that are inconvenient. Couldn’t the woke stuff come directly from Marxism rather than being pinned on Feminism?
Yes I suppose it might. It certainly predates feminism. Maybe Marxism inspired feminism. Or maybe they thrive in the same mindset. In any case I do think trans ideology specifically is half a step away from a certain type of radical feminism that tries to pin all differences in outcome between men and women on social and cultural factors and negates that biology or physiology plays any difference. It has been argued on here that this is a rare extreme view. But people may recall a few years back a Google employee who wrote a memo trying to address the question of why most software engineers are.men. He had the audacity to suggest there might be an intrinsic difference between men and women that makes men more interested in software engineering and lost his job for it. I don’t think anyone will deny that today suggesting that men might be better at something than women (outside the purely physical realm) is beyond the pale. The opposite is also sort of the case but less so. A society that won’t tolerate the idea that biological differences betwwen men and women lead to different outcomes in behaviour and capability is basically saying… Read more »
Biology makes a huge, an enormous difference…far more than is currently acknowledged.
and not just in obvious physical ways – where men have different genitals, muscles, livers & metabolism…but there are also significant differences between male & female brains, & our neurology.
There is a great deal there to be explored & discovered, but in the present climate such objective pursuit of the truth is very discouraged.
Makes sense. I’m female and I remember agreeing with the Google employee who got fired.
Both I think.
I think they tend to be intermingled…both are strong on a collective identity- something that is at best unhelpful, at worst an anathema to one’s individuation.As a female who is naturally feminine, naturally conservative (I like conserving!), naturally quiet, naturally gentle (without being overly submissive)…I have been treated with great hostility & aggression by women who identify as feminists.
A number of them have treated me as something to be despised.
I do not have a favourable view of feminism- in the form that it has presented to me.
I’m allergic to collectivism too. On a basic level, I’m grateful to early feminism for financial independence and the ability to vote. Apart from that, I prefer men and women to be united rather than discordant so I think of my self as a human-ist rather than a feminist.
I am a female inclined to the same view as you on feminism.
I am certainly not misogynistic- if anything the opposite.
I certainly agree the covid terror has changed things. Prior to 2020 I had no fear for.my liberty. I lived certain that I would always be fundamentally free. Now I’d be a fool to assume that.
That said, most people I interact with on a day to day basis are reasonable, tolerant folk that want to live and let live.
I don’t meet any of these crazy militants, trans warriors, BLM opportunists and the like that are massively over represented in media. And the trends and societal changes like AI, CBDCs and so on are far.more problematic and move slower than is suggested.
I think the DS is a bit of an anxiety porn site but fair enough. It’s purpose is at least partly to draw attention to all these risks, unlikely or remote as they may or.may not be.
The covid business just made clearer things that had been building for decades, and continue to do so.
Most folk are reasonable until they imagine they have a reason not to be (for instance covid) but they go along with what they are told, so it doesn’t take that many evil loonies to derail things.
AI is limited for now but it will get more powerful quicker than I’d like. We may not see it causing serious problems in our lifetime, but sooner or later it could do real damage.
Anxiety porn? I don’t know. Best to be vigilant. I would never have imagined so many populations complying so much with what was so obviously folly and evil.
I agree with you. I think everyone who knows me knows my stance on it all, from the Woke to the COVID cult.
But I’m also reminded that the same thing that gets the Twitter blog frothy is regurgitation of the same hype, and living in the echo chamber, like some hateful cyclone.
So it’s definitely worth stepping back and realising that actually, things are definitely not quite as doom and gloom as we want them to be…
We are indeed in an echo chamber on DS, more so than TCW I feel. I felt a while ago that I was too immersed in all of this nonsense, too invested in it and I began to look inside myself and notice certain things: an increasing lack of patience, a tendency to be looser with my tongue and more prone to using Anglo-Saxon as punctuation. We cast the runes and the bones on here relentlessly everyday as soon as the News Round-up is released with its litany of woes and doom and that casts a shadow on one’s spirit. It’s important to go outside and be in nature, to let the rain fall on your face and feel the cold wind working its way past your feeble barrier of clothes and feel alive! All is not lost. We have everything to be thankful for. Battles waged in truth will endure and prevail. That may be pie in the sky, more fantasy than reality to some but it’s my reality. And humour is very, very important too. We have to be able to laugh at the complete and utter absurdity of it all! Yes, I know there is death and… Read more »
Correct.
Wokism is one of three fronts on which the war of the wicked is being launched.
The other two are greenism and covidism.
Each is designed to impoverish, cower and limit the freedoms of ordinary people whilst the globalist/elite/blob does as it pleases.
Be comforted though. There are more of us than them. Don’t give your money to people who hate you (Nike, for example). Expose. Resist. Fight. Attack.
And of course, the most devastating weapon is the prayer of the righteous.
I see this as one long continuum from when I was at university. Virtue signalling and single step emotion based reasoning has always been there and a feature, indeed THE feature of the left. IMO The difference is social media allowing the promotion of one’s personal brand made it has made it competitive. IMO woke ideology disproportionately flows from constraints and features of the medium. Like with television, soundbite dialogue – and so reasoning in the social space – has to be restricted to simple steps that aren’t amenable to a sophisticated developing rational dialogue. Worse social media limited to text more usually strips one of personal charismatic power. This suppresses the easy expression of attractive male traits which require time space, personal contact and attention to be apparent, such as the ability to demonstrate strong adherence to rationality (reasoning) based principles. Video is a better format for those tending to the right for this reason and I find it interesting there is a resurgence of multi-step rational reasoning on platforms promoting long form video. It started with YouTube, but YouTube try to suppress it, so it has migrated to Rumble. Joe Rogan has led the way in this format… Read more »
With regards to the ‘Trans’ element of the Woke cult, can anyone explain to me like I’m 12yrs, when the activists are chanting “Trans rights are human rights”, what exactly are they referring to? Because, as far as I’m aware, trans folk are afforded the exact same human rights as everybody else, so what is their gripe? I wonder if, as a female myself, the fact I don’t want a man in a dress getting changed in the gym changing rooms with me makes me come across as ”transphobe”, or perhaps complaining about a ‘biological’ male who identifies as female in the swimming pool locker room while my daughter is getting changed after her lesson is seen as an infringement on his human rights? It seems to me that the trans loon activists are not interested in equal rights but superior rights, the fiasco within the world of professional athletics being a perfect example. This Professor of Human Rights was scheduled to do a talk on women’s rights in Canada but the stupid security people let the trans loons into the building and they mobbed him, attacked him with flour and his talk got cancelled. If this isn’t total hysteria… Read more »
With regards to the ‘Trans’ element of the Woke cult, can anyone explain to me like I’m 12yrs, when the activists are chanting “Trans rights are human rights”, what exactly are they referring to?
Substantially, nothing. This is guilty-by-association in reverse, they’ll try to pin their cause onto the term human rights in order to lend it some dignity it doesn’t have. Contextually, they’re probably patterning this on the gay marriage campaign where it was claimed that marriage, in reality, very likely more access tax breaks for married couples originally intended to benefit families with children, would be a human right and denying the marriage, ie, said access to tax breaks … etc would thus violate their human rights.
If it’s TRULY global, then it has a spiritual significance beyond sociology or politics, and we need to be looking at 2 Thessalonians and so on to understand it. I’m not yet convinced to what extent it actually impacts the non-Western world, though, so perhaps the end is not yet nigh and I can save my sandwich boards for a bit later on.
Yes, don’t repaint those sandwich boards just yet…Keep them as they were ‘Beef and mustard’, ‘Stilton and pickle’….
https://www.unz.com/proberts/the-curse-of-rousseau/
“In the Woke view that now seems dominant, innocent people, which seems to exclude white heterosexual males, are victims of the evil in civilization’s institutions, not themselves perpetrators of evil. This view is taught in schools and universities and is being institutionalized in corporations, museums, and entertainment. The result is a generalized attack on civilization and the recasting of truth as approved emotions.
The revolution against civilization erases the empirical, rational, logical foundation of truth and gives rise to individuals who do not have to control themselves, because their transgressions are caused by corrupt institutions, from the chains of which man must be set free.
As Ryn puts it, patterns of profound irresponsibility are being deeply ingrained, thus institutionalizing the self-inflicted ongoing societal and cultural collapse.”
Some interesting views. I can’t help thinking that the Globalists expected Britain to vote No on Brexit, and Hillary to be President in 2016, and they haven’t really got themselves together since. What they haven’t done in all the plans and secrets is to factor in the bloody mindedness of the average citizen when told to do something that disadvantages themselves, nor the tendency of many to take a contrary view. Bits of this nonsense seem to be getting walked back as they crash into reality, and the more they push it, the more that will happen. Totally agree that this is a hearts and minds issue and the younger generation is lost. How long did it take to get rid of communism, 70 years..? Three generations then…
I don’t necessarily agree that “the younger generation is lost”, where is the evidence for that?
I think that the younger generation, like the rest of the generations, is made up of a mixture of people on a spectrum of various different views.
Russell Brand has millions of followers, surely many of them are young people.
I was at a Van Morrison concert last week, with a surprising number of young people in the audience (and dancing in the aisles towards the end), surely they’re not lost!
And perhaps you have seen the video of Nazarin Veronica on TalkTV a few days ago, she’s certainly not lost:
https://twitter.com/nazarinveronica/status/1645141365645275137
Wheres the evidence.? Greta, in a word. You are quoting noble exceptions, but Greta has been the touchstone for the early teens just discovering about the world. But there isn’t a counter of a Greta with right wing thinking. Kids are bombarded with this stuff from age 4, and its not that they are taught that there are two roads and to use their power of thinking to decide the better one. They are taught that there is only one road, only one way to think, one set of actions that are acceptable. I don’t blame them, they are brainwashed. Even my own children, after University, only want an arms length relationship with me (Brexit Dad…), and they wont even enter into any discussion about what is happening. It saddens me greatly, but this is the corrosiveness of woke.
I think what this shows is that the elites are everywhere; that naturally elites in the less developed world will adopt the manners and attitudes of their peers in the west, because that’s how you get on in the (elite) world. And these upcoming elites control the media in the same way they do here. I very much doubt that more than a very small fraction of ordinary people in Africa, South America or most of Asia have much time for LGBTetc and all the other wokeries. As is the case here, I suspect. Not that we’ll ever know because no one cares what ordinary people actually think.