What Private Eye’s MD Gets Wrong About Vaccines and Excess Deaths
Private Eye’s anonymous ‘MD’ has written an article in the magazine this week about what’s behind the recent excess deaths and whether the vaccines could be involved. For a mainstream piece on the topic it’s unusually polite and balanced – it refrains from any scoffing or offhand dismissal, though naturally rules out vaccines as unlikely.
Because a piece as considered and reasonable as this rarely appears in the mainstream press I thought it was worth going through it to offer comment on its arguments.
The doctor opens his article – which is titled ‘Pandemic Update: MD on Excess Deaths and Vaccines‘ – by drawing attention to the ONS’s age standardised mortality rates (ASMRs) for England, which he says “allow fairer comparisons between countries and within them”. Using the ASMR, the crude 6.3% excess for 2022 is slashed to minus-0.7%, though with marked variation throughout the year (e.g. minus-15.9% in January vs 9.4% in December).
At the Daily Sceptic we have previously looked at ASMRs in some detail. In brief, the ASMR is a modelled quantity that introduces large adjustments to the raw data using the 2013 European Standard Population to “standardise rates“. These adjustments are based on an assumption about how much a society is ageing and how likely older people are to die which may not be valid in reality. U.K. data for recent years show no clear rise in the crude mortality rate suggesting these large adjustments to the crude death rate are unwarranted. Furthermore, the recent excess deaths are largely from cardiovascular causes rather than diseases of old age such as Alzheimer’s and Parkinson’s, and are also occurring in younger age groups, giving a further indication that the large adjustments for an ageing population are not appropriate.
The Eye MD also points out that excess deaths in the U.K. were down to just 2% in the week ending January 27th, “coinciding with the waning of the flu season and improvements in emergency response times”. However, the reason excess deaths have been low in January is because the baseline now includes the large Alpha wave of 2021, which raises it by around 1,000 deaths each week. This means that a comparison with the pre-pandemic 2015-19 baseline would show around 1,000 more excess deaths each week, which would seem the more accurate figure and indicate that the excess deaths crisis is not yet over.
The MD notes that ONS data on death certificates “show just 52 deaths in England and Wales where COVID-19 vaccines were the underlying cause between March 2020 and December 2022”, arguing this is an indication that there are unlikely to be considerably more vaccine deaths than that. However, it’s unclear whether doctors are likely to record the Covid vaccine as an underlying cause of death, particularly where the death occurs some weeks after vaccination owing to a cardiovascular issue. Personally, I’m more surprised that on 52 occasions doctors actually recorded the vaccine as the underlying cause of death, given the controversy around this issue.
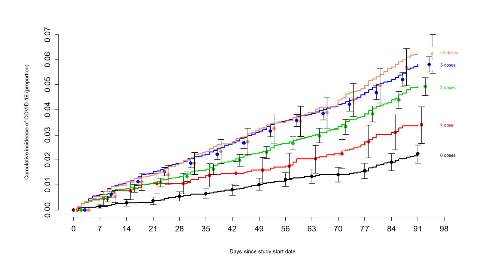
Next, MD claims that global data fail to “nail mRNA vaccines as a cause of significant excess deaths”. Since the start of mRNA vaccination, “the unvaccinated have had higher excess death rates per capita than the vaccinated,” he claims. The source for this claim is unclear. Excess deaths are rarely if ever reported by vaccination status; if they were, there would be numerous analyses of these data, but the fact is that governments have generally refused to release these data. However, a recent analysis of local areas of England by vaccination coverage suggests that excess deaths since the vaccine rollout, and especially in 2022, are concentrated in areas with higher vaccine coverage. The following chart illustrates this: it shows the change in excess deaths in the 300-plus local council areas of England between the first Covid wave in 2020 and the 2022 excess deaths, plotted against booster coverage. The reversal in the health outcomes following the vaccine rollout is remarkable. This is not proof of cause but it is certainly consistent with it.

MD then acknowledges that “many countries have had higher excess deaths recently, leading to the hypothesis that over-vaccination with mRNA boosters might be behind it”. He notes, however, that the pattern is not consistent: “Not all the highly mRNA vaccinated countries have a higher age standardised excess of death.” He doesn’t name countries here but in fact almost all countries saw excess deaths in 2022, largely driven by cardiovascular deaths in the elderly and sometimes in younger age groups as well. This includes Sweden, which is sometimes singled out as bucking the trend, but in fact had elevated deaths during the second half of the year.

For some reason the Human Mortality Database (HMD), which is a commonly-used source, uses a higher baseline for Sweden than Our World in Data so shows lower excess deaths. Nonetheless, even the HMD shows high excess in 75-84 year-olds.

The Eye MD claims that where there are high excess deaths “there are usually other plausible explanations (e.g. Covid or flu waves, health system pressures, heatwaves, cold winters)”, though doesn’t give examples and this statement seems to beg the question.
He goes on to claim that “Omicron, it turns out, was only milder if you had vaccine protection”, but this is not true. Omicron was first identified as milder in low-vaccination South Africa and studies have repeatedly shown that it is milder for the unvaccinated as well as the vaccinated. A U.S. CDC study which controlled for vaccination status found Omicron was 91% less deadly. The reason Hong Kong, like most of East Asia, had a rough time with Omicron, having had a much easier ride with earlier variants – which was the opposite of most of the rest of the world, which had a rough time with earlier variants but an easier ride with Omicron – is not really clear. But whatever explains that, the mildness of Omicron outside East Asia is certainly not merely a vaccine effect.
“Many high-risk people have been put off protective boosters and had repeated infections,” he says. However, recent studies have indicated that infections are more likely with additional vaccine doses, not less likely.

MD goes on to argue that in New Zealand, which had no Covid when it rolled out the vaccines in 2021, “excess deaths did not go up and there was no indicator of widespread vaccine harm”. However, what he doesn’t acknowledge is that the reporting rate of adverse events from Covid vaccination in New Zealand was 550 per 100,000 doses, including 31 per 100,000 serious adverse events. This compares to a rate for flu vaccines in 2021 of 30 per 100,000 with three per 100,000 being serious. In other words, serious adverse events with the Covid vaccines in New Zealand were reported at a rate more than 10 times higher than the flu vaccines in 2021.
MD quotes a Cochrane review which found no serious vaccine risks in 41 RCTs, but he does also quote the reanalysis of Pfizer and Moderna clinical trials in Vaccine which found a risk of serious adverse events (SAE) of one in 800. However, he repeats his claim that “this high rate of early SAEs was not observed in, say, New Zealand’s vaccine rollout”, which as noted is untrue.
He acknowledges that “if you compare 2022 just to 2019, there appears to be a significant increase in excess cardiac deaths in middle-aged people”. He lists five potential causes: the vaccine – “repeated overstimulation with mRNA boosters is causing immune-mediated cardiac arrests”; missed diagnosis and treatment during the pandemic; the current NHS crisis with its delays in emergency care; lasting effects of Covid; and random variation.
To counter the idea that it’s the vaccines he points to recent Scandinavian research which shows vaccine myocarditis is “rare” and “much less likely to cause heart failure and death than the myocarditis you can get with Covid”. However, a number of other studies have shown that myocarditis is much more common after the vaccine than after infection, while other studies have found no link between prior COVID-19 and an increased risk of cardiovascular conditions or stroke. Besides which, since the vaccine doesn’t prevent infection the risks are additive rather than alternatives.
MD adds that “you get exposed to far more spike protein from infection than vaccination”. But this fails to recognise that the vaccine enters the bloodstream directly, making systemic effects on the cardiovascular system and other organs more likely, whereas the virus usually enters the body via the respiratory system and its access to the bloodstream is more limited.
It is welcome that the Eye MD says he “agrees with Malhotra that vaccines, like all drugs, should be voluntary, used wisely and with informed consent” and that “drug companies should make all data for trials for drugs used in humans available, perhaps at secure sites where bona fide researchers can access it, and other researchers can see what they’re doing”.
He ends with a worrying statement: “If [Dr. Aseem] Malhotra and [Andrew] Bridgen are right, we’re doomed: 13.27 billion vaccine doses have been given globally, mainly mRNA, so we could all be ticking time bombs for early cardiac death.”
The worry is they may well be right – though if everyone would stop taking the boosters that could only help.
To join in with the discussion please make a donation to The Daily Sceptic.
Profanity and abuse will be removed and may lead to a permanent ban.
Any analysis of the current excess death situation that ignores the fact that deaths should be well below normal levels due to the high levels of excess deaths that occurred at various points in 2020 and 2021 is either totally ignorant or purposely attempting to hide the truth.
Even if your death rate is still running at normal levels after 3 years of a pandemic that has resulted in (by whatever means) hundreds of thousands of excess deaths then you are experiencing significant excess deaths. Just waving hands and saying ‘Look, everything is normal!’ doesn’t cut it.
Then there’s the contamination of the bivalent jabs, as recently discovered by Kevin McKernon. His findings discussed ( see link below ) by Sasha Latypova now. If you inject billions of people with billions of antibiotic resistant genes, and if they get into the gut microbiome and replicate, then that’s not going to be a good outcome. We await a statement from Pfizer and Moderna on this one…
https://sashalatypova.substack.com/p/vials-of-pfizer-and-moderna-are-contaminated
Big Pharma knows there is a problem with the jabs, our governments know there is a problem with Big Pharma’s jabs, but none of them want to admit it. Fortunately many people are waking up!
People who were ‘vaccinated’ were included in the ‘unvaccinated’ category for two weeks after their jab in many places.
Thus many labelled ‘unvaccinated’ having had a serious adverse reaction to their first vaxx, declined to take any more, but remained affected.
If these figures are used for studies & statistics there will be some distortion of what is happening.
This ongoing refusal to believe that the vaxx has caused any significant damage will end up biting TPTB on the arse. Now they can no longer deny what some of us have been saying for 2 years, that there are problems with the vaxx, instead of halting the administration of the poison, instead of focusing on precisely what the problem is and finding ways to help those who are suffering now or might face problems in the future, they are focusing all efforts on trying to find something, anything that will point away from the vaxx. Now that a major newspaper in Germany has published the pfisser trial shenanigans, this type of news will start spreading. It looks like the obvious political play will happen – place all the blame on naughty pfisser. Regardless, everyone who was jabbed will now blame any and all health problems on the vaxx, whether or not there is reason to do so. And because they have spent the better part of 2 years denying there was any link, then when admitting the link, tried to minimise it and continued jabbing, it is their own fault when no one will believe them anymore. One thing… Read more »
”No observable benefit of vaccination campaigns in the elderly” says Dr McCullough, citing this study, and referring to both the Covid and the flu jabs.
https://petermcculloughmd.substack.com/p/similar-in-hospital-and-30-day-outcomes
Quality as usual Jane.👍
Phillip Hammond is Private Eye’s ‘MD’ and his biog online describes him as ‘Doctor, Broadcaster, Comedian.’
‘Nuff said’—as The Eye might opine!
Treble boosters all round!
I began buying ‘The Eye’ and Beano from the Student Union shop in 1968. I was a subscriber for many a long year, but binned it moons ago when I could no longer stomach Hislop and his direction of travel. I hope Toby’s flirtation with Ofcom is but a temporary aberration and that he’s not on the same path.
Private Eye is terrible, it’s like an ironic version of the Guardian.
Same here; binned it years ago.
Me too. When MD embraced Clown World – although at first he appeared to be onside.
But, rapidly changed his mind. And I don’t quite know why, unless it was when the usual reflex action of the bigpharma trained useless GP syndrome kicked in.
And I thought that toe rag mag had critical insight. Silly me.
😀 😀 😀
Folks, of course Malhotra and Bridgen are right.
The reason we haven’t seen carnage of the scale suggested above is that, as Cole, Bhakdi and Yeadon have been saying for some time, most people got mush.
It is the purposeful lack of fidelity in the manufacturing process that saved people.
The excellent Sasha Latypova explains this all in a lot of detail here:
https://sashalatypova.substack.com/p/nobody-knows-what-is-in-the-vials
“Private Eye’s anonymous ‘MD’ has written an article … a piece as considered and reasonable as this rarely appears in the mainstream press.”
Nice one Will.
I wonder how Hislop will react to being referred to as “mainstream?”
😀 😀 😀
He’s a doctor, what do you expect?
The more you know, the less the jabs glow.
If Private Eye rules out the vaccine as the cause then that’s the joke. They couldn’t be serious if they tried.
Quoting Dr John Campbell when he commented on Pfizer’s response to the Veritas Sting, who was in turn quoting from Hamlet:
“the Private Eye MD doth protest too much.”
Still, it’s an admission from the Establishment through one of its tame publications that there ARE excess deaths and the gene therapies are implicated.
The statistics regulator has accepted the recent submission by Prof Norman Fenton and Dr Clare Craig that the ONS estimates for vaccine coverage and efficiency are useless. This is because the ONS has been deliberately exaggerating vaccine efficacy and downplaying vaccine harms for the last 2 years. To exaggerate efficacy, the ONS has used an under-estimate (8%) of the unvaccinated population. A more accurate figure is 26%. To see how Ms Sarah Caul at ONS, responsible for deaths statistics, and a recent recipient of an MBE for, according to her, all her ‘hard work’ putting out figures during the pandemic, has downplayed vaccine harms, prepare to go goggle-eyed in disbelief as you look at her figures for ONS-recorded deaths between Jan-21 and May-22, and observe that there are no deaths reported within 21 days of jab 1, or within 21 days of jab2. Why should there be zero deaths of jabbed persons in these two 21-day periods? There is no reason. What has Ms Caul done? She has reasoned as follows: The jabs aren’t effective at supposedly suppressing covid symptoms for 21 days. Therefore the person is effectively un-vaccinated until 21 days after being jabbed. Therefore, if the person dies… Read more »
When things so obviously started going pear-shaped with lockdowns and vax mission-creep, I thought The Eye would step up and get stuck into what was/is probably the biggest ever story of corporate/Govt corruption and incompetence. MD’s ‘polite’ musings which essentially followed the mainstream media line of always err on the side of caution – yes more masks, yes more vax, yes more lockdowns – were a monumental disappointment. Also where was the razor-sharp wit attacking puppet liberal tyrants like Trudeau and Ardern? Subscription duly cancelled.
Totally agree with you – it’s gone very downhill – some of the financial stuff is quite good and local government – where are Paul Foot and John Pilger when we needed them most – page 84.
I’m really pleased that you have taken this MD to task. I subscribe to The Eye and have been very annoyed by his column most of the time – even though I read a large number of articles daily and have followed the progress of the scamdemic – and despite recognising that he was being shifty – I have not had the ability to write to The Eye to complain – thank you for taking for now giving me thea ammunition needed.
I’ve been a regular Private Eye reader since 1971, but Private Eye and their MD have lost their way the last 3 years – especially over Covid and Covid vaccines. MD’s regular Covid/Pandemic Update usually with a place of honour on Private Eye’s second text page, has promoted very definite but usually incorrect opinions on various aspects of Covid, but MD’s most recent pronouncement (on page 3) has been properly debunked by Will Jones.
MD is some sort of psychiatrist. He has no respiratory virus or epidemiological expertise and obviously knows little about vaccines. Private Eye was actively against MMR vaccine in the late 1990s and MD was very slow to recant.
Now they/he is supporting the government line regarding insufficiently tested novel Covid vaccines which have been plausibly related to very worrying possibly-associated adverse effects, which need careful (independent) investigation. Private Eye’s very limited web-site makes it difficult to locate items. Perhaps it’s time for the gerontocratic senior staff at Private Eye to shuffle off.