Government Ministers Draw Up Plans for Social Distancing, Face Masks and WFH to ‘Save the NHS’
Mask wearing, social distancing and working from home could be introduced by ministers to ease pressures on the NHS, as some experts call for Britons to start adopting Covid-era measures. The Mail has more.
The NHS is facing record winter pressures due to rising rates of Covid and flu, staff shortages and too few beds, while experts fear an Omicron sub-variant will drive a surge in infections, piling even more pressure on the already-crippled health service.
Health chiefs and scientists have already advised adults and pupils to stay at home if they are unwell, don masks if they must go outside when sick and called for the booster rollout to be widened in a bid to ease NHS demand.
Now, ministers are said to be considering issuing fresh guidance to wear masks on public transport, work-from-home and socially distance if the health service “is at risk of collapse”. Hospital bosses have already warned the crisis will continue to Easter but said measures used in the darkest days of the pandemic are not yet needed.
Some experts are advising Britons to already start limiting their contacts, socially distance and not go into the office to limit the spread of winter viruses.
However, others have hit out at the response, warning against the NHS’s “annual winter crisis being used as an excuse to reintroduce Covid-era restrictions”.
Official sources have suggested that the Government could issue fresh advice for the public to wear face masks on public transport and work from home.
A “well-placed” source told the i that there is a “list of potential measures” under consideration. However, lockdowns and school closures are not among them and no advice is expected to be mandatory or legally enforceable.
They said: “Softer, less intrusive measures could soon be introduced if the NHS is at risk of collapse. While the guidance is for people who are ill to wear face masks if they leave their homes already, it may well be that the wearing of a mask could again be the guidance for all those using public transport.”
A separate Government source told the news website: “We’re not there yet, but guidance for everyone, ill or not, to wear face masks on public transport is not really going to inconvenience people. It would also make perfect sense to ask people who can work from home to do so if the NHS need us all to support them through this busy period of the year.”
Officials have also drawn up social distancing guidance which advises people to avoid crowded indoor spaces, according to the i.
Professor David Livermore, a microbiologist at the University of East Anglia (and Daily Sceptic contributor), told MailOnline that the public are currently more vulnerable to viruses due to prior Covid restrictions and it is a “period we have to pass through”.
Hiding away again will only delay our immune recovery and make it harder. There is absolutely no good reason to demand the return of masks. They have failed epically. Worse, they cause harm. They impede communication. They impede childhood learning. They create a scurf of poorly degradable street litter.
Nor is there good reason to reinstate other restrictions, such as social distancing and WFH. A large part of our present problems is that, through two years of restrictions, we lost our natural equilibrium — of repeated asymptomatic infection and re-boosted immunity — with other pathogens, such as flu, RSV and even Strep A.
However, Professor Sam Wilson, a virologist at the University of Glasgow, told the Guardian: “Where it is possible, taking voluntary steps to reduce transmission — reducing contacts, wearing high-quality masks in crowded indoor spaces, and isolating if you have symptoms — will help reduce the pressure on the NHS.”
And Dr. Stephen Griffin, an infectious disease expert at the University of Leeds, told MailOnline that he “fully endorses” limiting contacts.
I would advise people to limit contacts wherever possible, working from home if possible, and not mixing at all if feeling unwell. Naturally, not everyone can afford to due a lack of support for isolation at present. Testing is ideal if you can access them, which is more and more difficult nowadays as well. In areas that are poorly ventilated, including most public transport, a well fitted filtering mask is the best protection for you, and for others.
This is what we’re up against guys – and it’s not just for Covid anymore.
Professor Carl Heneghan and Dr. Tom Jefferson ask what happened to Theresa Coffey’s plan to increase 999 call handlers and add 7,000 extra hospital beds this winter? On December 24th, 99,097 General and Acute Beds were open, they note, which was up from down from 99,364 beds on November 14th.
As for increasing the booster rollout to ease NHS demand, are minsters completely sure about that?
Worth reading in full.

To join in with the discussion please make a donation to The Daily Sceptic.
Profanity and abuse will be removed and may lead to a permanent ban.
The belief that daft ideas do any good is the real problem. It’s the good old “Something Must Be Done” attitude, devoid of real evidence, unfortunately. It seems to me that “misinformation” is the modern term for that kind of junk being spat out.
They will start the next LD propaganda soon (with heavy hearts) – to save the Communist Death Care System, with its ~120.000 beds in a country of 70 millions. Can the retards do the flipping math? A diarrhea outbreak would break the CDC system. This looks to be ‘step 1’ in the WEF endless LD world, while they figure out how to LD for the climate-plant food-thingy. Now our ‘liberty’ is at the mercy of the Communist Death Care system. What a bloody joke.
Now, ministers are said to be considering issuing fresh guidance to wear masks on public transport, work-from-home and socially distance if the health service “is at risk of collapse”. Hospital bosses have already warned the crisis will continue to Easter but said measures used in the darkest days of the pandemic are not yet needed.
All they will prove by doing so is that the NHS is not fit for purpose, and hasn’t been for a while now. And the lockdowns and all the backlogs they created was like gasoline on the fire in the long run.
Which is the whole point of the exercise to enable them to bring in the solutionof a digital NHS which has long been in the planning.
And balderdash the dated term for this poppycock!
I think they’ll be suprised how many people are now clued up to the BS, and as such will be totally ignoring the unnecessary theatre.
Chuffing well hope so after 3 years of this abusive pantomime show. Trouble is, all of our governments are infested with WEF vermin so this was always a very real probability, with the health services always used as a pathetic excuse, but it boils down to compliance at the end of the day. Stuck in the EU I’m just waiting of our turn. It’ll be a miracle if we get through winter unscathed by this nonsense.
The song “Won’t Get Fooled Again” by The Who (not to be confused with the WHO) comes to mind.
Yes I have quoted that a few times + The Manics song “If you tolerate this” Well we did and our kids were next !
My contribution. I think it sums up everywhere apart from Sweden! 😮 Plus it’s a belter. 🙂
https://www.youtube.com/watch?v=Ayq_I1NU2Q8&ab_channel=ZombieNation-Topic
Compliance in 2020-21 definitely got reduced the longer the pandemic went on so I can’t imagine it will be very high if they try it on again, especially if it’s for the flu and not the dreaded Covid.
Andy, I think, hope, pray you are right. This theatre is becoming nauseating!
All of this is BS and an attempt to ratchet the fear level among the sheeple.
Very, very sadly I am moving to the position where I fear that the people who may lead us to our doom are in fact the sheeple. They are the real danger. While idiots take notice of government propoganda the rest of us are at risk and government knows this.
It’s depopulation alright.
Skimmed the article, it looks like the only thing the psychopaths left off the menu was lockdowns. Maybe they think that’s a bridge too far, or they’re testing the waters to see how many dozy sheeple are still under their spell and haven’t ruled it out. Mother Hubbards!🤬
Remember autumn 2021: First, Boris the Jelly was talked into reintroducing masks. Then, an ever increasing clamour for a full lockdown began which was only tighly averted. Or remember autumn 2020, when the GBD was being smeared as strawman because Nobody wants another lockdown!, despite all the usual suspects, the very same suspects making the strawman claim, had been crying for another lockdown for a fortnight already before the strawman claim was being made.
“Boris the Jelly”!!!🤣🤣🍨 You do come out with some corkers.😂
And now Boris is a man without a country. Moral of the story: when you try to please everyone, you ultimately end up pleasing no one.
Cummings refer to him as ‘trolley’ on his blog. That is, a shopping trolley that gets pushed arould easily.
…with a wonky wheel
Talking of depopulation, it seems our deaths in the NL have outstripped births, which is interesting. And you can see the impact of immigration from other countries also.
https://www.dutchnews.nl/news/2023/01/nl-population-hits-17-8-million-as-deaths-outstrip-births-for-first-time/
Ministers and Junior Ministers providing ‘confidential’ media briefings to gauge response. Usual rubbish from a Dictatorship masquerading as a democratically elected government. What they have yet to realise is that outside of the Circuses of the NHS, the Media, the Islington crowd & Westminster, no one gives a to*s about this nonsense and most people will simply give it the ridicule and contempt it deserves.
On a personal level I think you’re right, but as soon as public transport and work from home advice is given, businesses will follow it, because the HR department will tell them to.
They waited until Christmas was over and now they’re piling on the fear.
All we’re waiting on now is somebody in authority to declare the obvious; that the dratted death shots have proven to be utterly useless, harmful and you were all blatantly lied to.
Nothing says “epic failure” like having to go back in time and reimpose restrictions. Don’t they feel complete and utterly ashamed at the sheer amount of lies and abuse the public have been, and continue to be, assaulted with??🤯 Is this really what British culture has now become, on a cyclical basis every winter, ad infinitum?🤷♀️
I think the ‘sense of shame’ you refer would only come from a combination of self-reflection and humility. But despite the story succumbing to the (established) facts, the challenge hasn’t succeeded and the narrative is still alive, and we’ve not succeeded in slaying this dragon.
We’ve been gaslit and treated as children, but so few of us realise that, even with a winning argument, we still don’t have a voice that pervades beyond the ‘fringe’.
We’re still being portrayed as nutters and I believe we need to up our game, although I’m lost as to how this will happen. I feel we need an incontrovertible news story that cannot be suppressed, but since 2020 I’ve become demoralised by even seemingly blatant ‘revelations’ being ignored. I’ve been increasingly staggered by the realisation of how low the evidential bar has been set, and, most distressingly, how logic seems to make no dent in this area.
It also doesn’t help that by those in authority casting everything ‘outside’ the narrative as being ‘fringe’, we’ve been driven away from our usual trusted (ha!) sources, and thus forced to wade in the swamp with the ‘real conspiracists’ – when we contend with such an anti-truth mindset, it’s not surprising some of those wacky ideas begin to seem less crazy as time progresses…
And the people must NOT fall for it this time!
The NHS and the BBC are socialist fascist organs of a ‘democratic’ socialist fascist government that has been in power now in this country for over thirty years. Umberto Eco: Features of Fascism: ‘Fascism is based upon a selective populism, a qualitative populism, one might say. In a democracy, the citizens have individual rights, but the citizens in their entirety have a political impact only from a quantitative point of view—one follows the decisions of the majority. For Fascism, however, individuals as individuals have no rights, and the People is conceived as a quality, a monolithic entity expressing the Common Will. Since no large quantity of human beings can have a common will, the Leader pretends to be their interpreter. Having lost their power of delegation, citizens do not act; they are only called on to play the role of the People. Thus the People is only a theatrical fiction. To have a good instance of qualitative populism we no longer need the Piazza Venezia in Rome or the Nuremberg Stadium. There is in our future a TV or Internet populism, in which the emotional response of a selected group of citizens can be presented and accepted as the Voice of… Read more »
Wow did the UK just get swallowed by a worm hole and end up back in 2020?🤔
John Dee’s latest on the spread of respiratory disease is an interesting overview and ample reason not to comply:
https://jdee.substack.com/p/flip-flop-flu-part-1
The thing to take away from this is: No so-called COVID measures were ever introduced because of COVID. Everythings was just stuff some people had badly wanted to impose all the time but had – until 2020 – never manged to find an opportunity for actually doing so. The secondary conclusion from that is that COVID cannot ever had been a true emergency (requiring unprecedented measures for handling it). And the ternary conclusion from that is These people were lying in 2020. They’re still lying now.
I’m not paying money for the upkeep of a health system in order to become its eternal serf. Let the NHS collapse if it cannot be made to work and let all its EDI managers and messaging experts be buried by the debris. If they’re incapable of caring for the sick (or – more likely – unwilling to, as this would distracts from their general political mission), anyway, it’s very likely that no one will even notice.
‘… that the public are currently more vulnerable to viruses due to prior Covid restrictions and it is a “period we have to pass through”.’
And so the way to deal with it is more of the same.
Won’t that mean the situation will continue in perpetuity requiring a continual state of ‘CoVid restrictions?
Is that the intention maybe?
The intent is to find a justification for selling masks, experimental medications and closing down the hospitality industry again. If that justification is self-referential — we need these measures because of the effect they have had in the past — all the better. Greatly simplifies argueing for their perpetuity.
Isn’t that exactly what is happening in China now? They restricted people to their own homes for long periods of time. Now they are released covid is running rampant due to their not having herd immunity.
Let’s face it, we’re not free people.
We are prisoners in a world run by plutocrats and administered by technocrats.
They say the guidance will be that, guidance, no legal obligation. But that’s what they say now, and we know how this goes. Guidance for the sick has become guidance on public transport which will become guidance indoors which will become a legal obligation and so on as far as they dare push it.
And here we all are, left hanging on their next pronouncement, hoping they will be merciful with us.
Like slaves.
One thing to bear in mind is that the Mail was at the forefront of spreading panic during the lockdowns. They even sent cameramen to hide in the bushes outside B&Q to photograph people bringing out their shopping in order to run headlines such as ‘Is this really necessary shopping?’
The privately-owned Mail was one of the very worst proponents of imprisoning us and pushing the spy-on-your-neighbour agenda. The one thing I will say is that other papers aren’t banging this drum as loudly today, so this is very much one paper making money by scaring its mostly-older readership.
THEY CAN FOXTROT OSCAR
Children with underperforming immune systems and being ignored
People dropping like flies from heart related disease and being ignored
Excess deaths running at 1500 per week, and being ignored
Hundreds of thousands of vaccine injuries being ignored
Hundreds of thousands of people with undiagnosed conditions waiting for hospital appointments because of the NHS shutdown, ‘to protect the NHS’
Inflation through the roof
Interest rates climbing
Small businesses failing
Economy in recession
All because of this government and this Prime Minister and the actions he took when he was chancellor. And now they want to do it again. Isn’t that the definition of insanity?
Oh, but the NHS are really on top of their game when it comes to diversity, inclusivity and lived experience, just no effing good at mending enough people.
The disaster that is the economy and the NHS is not the fault of this government (only) or of this prime minister (only).
It is the outcome of many successive governments spending more than they collect and of a population that just doesn’t get it. No matter how incompetent the bureaucracy, how obvious it is that central planning doesn’t work, the public still gets suckered every time into braying at officialdom to solve our problems.
And as long as we expect bureaucrats and politicians to organise our lives and solve our problems the bigger the snowball will become and the more crappy our lives will be, until we are essentially living in a version of the Soviet Union, but with better gadgets.
Incompetent, inept and corrupt as previous governments may have been, I don’t remember any shutting down the economy, the NHS, the schools and the entire country while paying people to stay at home and training civil servants not to go into the office like the current prime minister did while chancellor. An economy, NHS and education system that he says he is now going to fix. Successive governments, seriously?
True. But every country did it. So it’s not THIS government. It’s just government full stop. We already had almost 100% debt to GDP ratio before the COVID madness. This government and every government in the western world with almost no exception spend like degenerate gamblers. The more money we give them the more in debt they get. That is the exact behaviour of a gambler. The state raises more money now than it ever has through taxes. They take our money at every turn. Income tax, VAT, fuel tax, import duties, council taxes, social security contributions, MOT, road tax, TV licence, capital gains tax, stamp duty etc.. etc.. They employ more resources than ever to collect our taxes. They tighten the rules, they use ever more sophisticated systems, they co-opt the banks to snitch on us. And still it’s never enough. The debt mountain just gets bigger and bigger. If you want to believe that our problems begin and end with this government, then go ahead. You’re just delaying your disappointment. And sorry, I don’t want to be rude, but are you f**king kidding me? There is one alternative to this government. One. Labour, who would have done exactly… Read more »
The chancellor, now our PM spaffed £400,000,000,000 up the wall in a matter of weeks. And now he is going to fix it with maths classes for 6th formers. No I’m not kidding.
Spot on.
“And now they want to do it again. Isn’t that the definition of insanity?”
Or as Pravda likes to call it, “Five Year Plan, Comrade!”
How are face masks, social distancing and being locked in your home working out for the Chinese?
Unfortunately, people don’t usually change their opinions just because they don’t make any sense.
The government need to reinstate all the care staff who were sacked, rebuild the Nightingales and combine them into transitional care centres for all the bed blockers (how I hate that term for people who need care but not nursing).It would act as a much needed laxative for the NHS and allow them to become more regular throughout the year.
Please do not suggest re-commandeering the Nightingale bed shed ‘hospitals’ which many of which were exhibition halls whose owners such as Dubai Ports Authority were paid extravagantly for their use. The economy needs them for their original purpose and in any case there will be even fewer NHS staff to man them.
The care sector problem was not helped by Javid’s attempt in England to legally coerce staff into the death shots. Approx 70k staff walked rather than succumb adding to the already 40k vacancies.
Mask wearing has come back with a bang among the timorous and dim-witted in my part of the north east.
I cannot believe how easily the psy-op works.
Not in Reading. I saw a total of five masked people when going out for shopping earlier today and two of these were Chinese.
“insanity is repeating the same mistakes and expecting different results.”
Mis-attributed to Albert Einstein.
The UK has done lockdown 3 times. It didn’t work – as measured by changes to the death rate curve. There was only minor improvement in the curve after the peak in each case.
NEVER AGAIN! Do NOT let this camel’s big nose under the tent this time!
They push this Sh1t & ignore the Jab carnage ! Diversion tactics ! As I said the other day will the Jab truth come out before they have us roped & tied 🤞
Crazy. Even ze Germans are now discussing to do the very opposite.
The only viable explanation for this is that they want to mask the seasonal structural collapse of the NHS, and then credit the normal seasonal recovery thereafter to these now beyond doubt proven useless interventions.
Do not comply.
No …. not playing the game.
I’ll do what everyone does and that’s ignore the government. Un-elected Sunak is really hilarious and out of his depth. Soon Vladimir Whitty’s coffin will be opened.
Well it all worked so well last time didn’t it so lets do it all again!.
It also seems to be a prime location for the diversity, inclusivity, equity and yes, lived experience cognoscenti to polish their credentials and anti British bias.
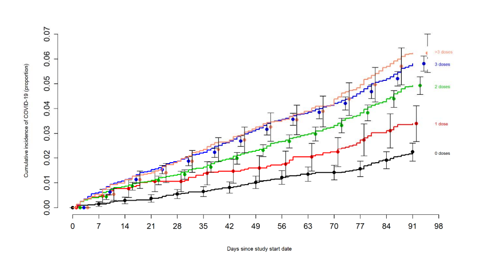
Thanks for the link to the Cleveland Clinic pre-print, from which the graph in the article was sourced. Just read it in full and am struck by the clarity of the findings and the authors’ willingness to state them unambiguously. There are three significant contra-narrative messages from the study:
1. The new bivalent vaccines offer only a “modest” (p 2) protection against infection, estimated at “about 30% overall” (p10) during the first 13 weeks after vaccination.
2. Each additional dose of vaccine increases susceptibility to infection: “…the greater the number of vaccine doses previously received the higher the risk of contracting COVID-19” (p9)
3. The ability of vaccines to lessen the severity of illness is unproven: “There were too few severe illnesses for the study to be able to determine if the vaccine decreased severity of illness.” (p11)
This was a large sample size study (n>50,000) from a credible source. It has not yet been peer reviewed. Nevertheless, it joins a growing list of analyses of real world outcomes that our government, medical authorities and the dominant media organisations are wilfully ignoring. It is lamentable.
It is these very same measures that created the NHS backlog in the first place. The “save the NHS” slogan” was also how the Great panic began. The question is how much of a grip do zero covid extremists still have on Government. Unless and until it is fully recognised that all of our sacrifices were for nothing, we are doomed.
The five actions that Rishi has proposed are to deal with problems that the governments have created. Rishi needs to work out it would be better not to create the problems in the first place. That would make politicians redundant, and the sooner that happens the better for all of us.
This could be the ideal opportunity to let the NHS fail and replace it with a different system. With the added bonus of resetting wages of those employed by the new organisation and lots of non jobs removed.
…..Then I woke up and realised it was all a dream and the gov will just continue throwing more tax pounds at the problem and hope it will solve it.
The sheeple are alive and well. The Daily Mail did an on-line poll and threequarters of the respondents favoured face masks. I despair that such oppressive control tactics will continue to work.
The Daily Mail is mainstream media and controlled, so that statistic is not necessarily reliable. I posted a comment on the Telegraph website politely but firmly objecting to the reintroduction of community masking and it was immediately removed in its entirety. I in turn cancelled my subscription and deleted my direct debit.
Yesterday on Wooton with Mark Noble many of us may have seen the lady hounded by 11 Hospital workers, security guards etc and threatened with being dragged out, the police being called etc because she refused to wear a mask, and after 5 hours they realised that their tyranny had failed because of the bravery of this woman who knew (1) Masks do not prevent transmission of covid (2) That the law was on her side. ————Many of us may still not want to go to the trouble that this woman went to and will likely keep wearing a mask in a hospital but there is no getting away from it. ——–This woman is 100% correct and her exposure on media and social media may bring down this absurd mark wearing lunacy.