Does Vaccination Weaken Our Resistance to COVID-19? And if so, How?
As early as 2020, various scientists voiced their concern that a Covid vaccination campaign in the middle of a pandemic might do more harm than good. They were promptly branded conspiracy theorists, smeared and then removed from social platforms, and vilified in the mainstream media.
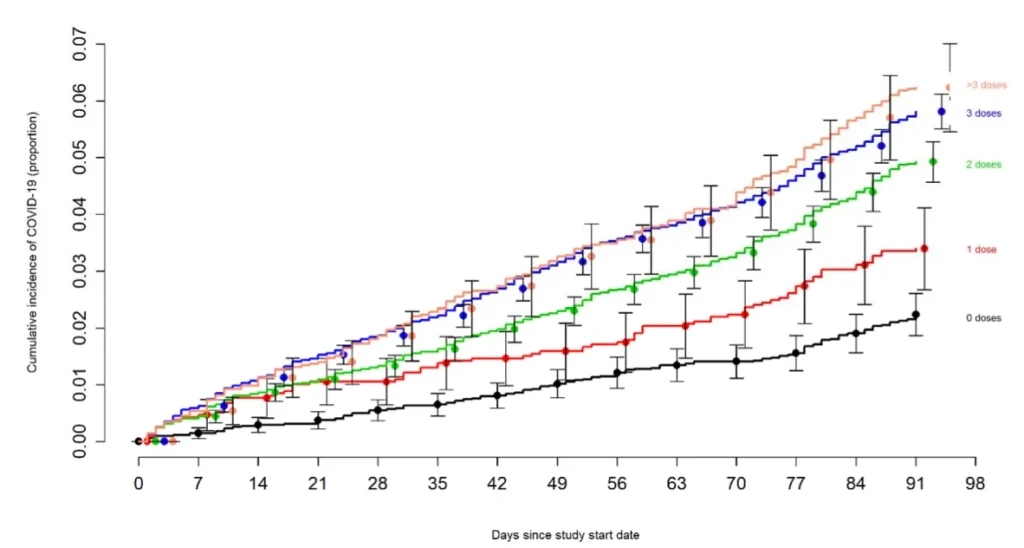
The development of the pandemic during the past year or so has made it clear they were probably right. It is now evident that the COVID-19 vaccines do little to protect against infection, and in fact, new research keeps appearing that indicates how, over time, they can have the opposite effect.
A new study of immune reaction raises even graver concerns. Like other such studies, it shows how vaccination spurs the production of immunoglobulin antibodies (IgG) in large quantities, which is what theyβre intended to do. This study, however, delved deeper, looked at which subtype of IgG antibody the body actually produced following vaccination, and found a huge increase, especially after the third injection, of the IgG4 subtype. Under normal circumstances, IgG4 is less than 5% of IgG antibodies in the body, but after the third vaccine dose it increased to a fifth of all IgG antibodies. When the triple-vaccinated then got reinfected, the percentage of this subtype increased even more, reaching half of the body’s antibodies against the spike protein.

However, the IgG4 subtype does not play a significant role in attacking viruses and bacteria. Rather, a high level of IgG4 is an indication that the body is less likely to show a strong reaction to allergens. Beekeepers, for example, are likely to have a high percentage of IgG4, which goes hand in hand with their limited immune response to bee poison. If the high level of IgG4 is an indication of a similar effect β that the immune system doesnβt see the coronavirus spike protein as a threat β this is surely a cause for grave concern. It looks likely, especially if we consider how the vaccination seems to increase susceptibility to infection, but we donβt know it yet for certain. Further research is required.
What we do know, however, is that the study results show how the level of the IgG3 subtype, which plays the biggest role in protection against viruses and bacteria, is greatly reduced and disappears completely 180 days after the third injection. This is a cause for concern also, but does not come as a surprise to those of us whoβve kept a close eye on the studies and real-life data, already showing the ineffectiveness of the vaccines.

Those results suggest that repeated vaccination with mRNA vaccines may reduce the body’s resistance to the virus, which may explain why the probability of infection and re-infection seems to increase in direct proportion to the number of injections a person has had. One can only wonder if this also explains to some extent the large increase in chronic Covid symptoms, organ damage and excess deaths. In his recent post on the subject, investigative journalist Alex Berenson called for immediate restriction of booster campaigns, as well as research into the correlation between autoimmune diseases and Covid vaccinations.
As Geert Vanden Bossche pointed out at the time, and this should have become undeniable by now, vaccination against virus variants that are no longer circulating only encourages the spread of new vaccine-evasive variants, thus fuelling the pandemic. His concerns were dismissed as “misinformation”, just like Dr. Martin Kulldorffβs opinion that there was no need to vaccinate those to whom the disease posed little danger.
Last year, Michael Yeadon warned that the third dose of the vaccine might push us into an abyss of disease and death. That warning was immediately dismissed as a conspiracy theory. But this new study may lend weight to his concerns.
The unprecedented censorship of scientific discussion has certainly had a decisive impact on the way things have evolved during the past three years. How grave the consequences of this will eventually be remains to be seen.
Thorsteinn Siglaugsson is an economist, consultant and writer based in Iceland. This post first appeared on his Substack blog, From Symptoms to Causes, which you can subscribe to here.
To join in with the discussion please make a donation to The Daily Sceptic.
Profanity and abuse will be removed and may lead to a permanent ban.
Nothing surprises me about the adverse effects of the C1984 “vaccines” as adverse effects is what they were designed to produce. And realistically we donβt know how bad these adverse effects and the ones not yet identified will turn out to be.
There can only be a steady seepage of bad news in the months and years to come related to the poisonous injections.
It was clear to me right from the word go that the key element missing from the testing of the jabs was the passage of time. I decided back in early 2020 that I would not take any newly developed vaccine until at least 5 years had elapsed, and all resulting safety data had been analysed by independent researchers. I now think that even that timescale was optimistic. As someone who has worked in software development all my life, I likened it to a new software product being brought to market. As a rule, never buy version 1.0 – because you will be the bug tester. I prefer waiting until the major kinks have been ironed out. Not so long ago a new malaria vaccine was brought to market – trials took over 30 years. When asked why it had taken so long, one of the development team replied “Because you need to make sure that it’s safe.” I can understand taking some short cuts if you will only be vaccinating people at high risk – those who are perhaps already in their twilight years, who are unlikely to live long enough to manifest long term problems. And in the… Read more Β»
“I would like to see an enquiry into how the jabs came to be pushed out to everyone β even small children.”
Once the realisation dawns that the injections are all about depopulation it is clear why these poisons were pushed to everyone. As Dr Mike Yeadon has said – no other explanation is possible.
I certainly had some very dark moments during the early days. When you possess an enquiring mind and a need to try to understand what’s happening – and yet nothing seems to make logical sense – the mind is capable of putting the puzzle pieces together in creative ways, and reaching some very biblical interpretations.
I very much appreciated MY’s courage however in speaking out publicly against his former paymasters, and I think he was spot on about “convergent opportunism”.
I also agree that certain groups in positions of power are committed Malthusians, regard humans as a destructive plague on the planet, and would like to see the planet significantly depopulated.
I’m just not convinced that the jabs were designed expressly for that purpose though – I lean towards a more sadly mundane position, involving arrogance, stupidity, cowardice, groupthink, peer-pressure, wilful blindness, greed and venality.
https://expose-news.com/2022/12/29/jane-goodall-is-not-a-kindly-grandmother/
Maybe this will change your view.
https://expose-news.com/2022/12/28/30by30-is-the-biggest-land-grab-in-history/
Or this which is really chilling.
I believe it is a bio-weapon …. and I’ve never heard of a weapon which WASN’T intended to kill or maim.
I agree that the “vaccines” ARE harmful, but still remain open-minded regarding whether they were actually DESIGNED TO BE harmful. That implies that the designers intended to kill and injure millions of people. Who are these designers and what is their motivation? Is it the Chinese or some kind of global elite grouping? Is the motivation financial (profit or avoidance of pension / healthcare costs)? Is the motivation depopulation (even though depopulation isn’t an issue in developed countries)?
I suggest that the Chinese knew that the spike protein was both pathogenic and highly mutable — thus their delivery of the genetic code for the spike protein in 2020 for the production of genetic vaccine was highly suspect. That said, it is likely that the action of the mRNA vaccines in promoting viral (spike) tolerance was a surprise for them.
The actions of the pharma giants in making use of secret deals and obscene benefits, etc, looks to be opportunistic. That they are content to suppress information about the negatives of their products is entirely in character, and should be no surprise.
Yes this very paper has been making waves all over substack, with everybody diving into their own take on what this means but basically arriving at the same conclusion; that this is seriously bad news for the multi-jabbed. I’d say, especially off the back of the recent Cleveland Clinic paper, it just seems to confirm what experts have been predicting and hypothesizing for a while now and it adds weight to their argument, that these bioweapons are doing untold damage on the human race and they are maliciously allowed to continue to do so. Only time will tell to what extent the damage and if we can recover from this but I think the low vaxxed nations, ( such as the African countries ) who once upon a time were being used as an example of inequity with these jabs, will now be in a much better position than many countries in the West. I could take my pick but here’s el gato malo’s take on the paper; “leaky (non-sterilizing) vaccines are exceedingly dangerous. there is a reason we donβt use them. viruses that can still replicate and spread get forced toward variants that take advantage of the vaccine and… Read more Β»
As far as I am concerned Mogs the guy is unreadable.
Oh, how come?π―
He refuses to use capital letters and he is far from skilled in the use of language. As far as I am concerned refusing to use capital letters is insulting to your readership and indicates a pompous and self-important personality. Can’t stand the guy.
π€£ Yes the lack of capital letters is silly as there really is no excuse, even if English isn’t your first language. I don’t know if they think they’re somehow being edgy or trying to be different to others. I can’t work out their gender actually. I’m veering towards male going by the language but the cats throw me as more females like cats than males I think.π€
Anyway, I’m only there for the cute π π± π
This is a more understandable article on the subject:
https://s.w.org/images/core/emoji/14.0.0/svg/2615.svg THE WRONG ANTIBODY β Monday, December 26, 2022 β C&C NEWS https://s.w.org/images/core/emoji/14.0.0/svg/1f9a0.svg (coffeeandcovid.com)
The “Bad Cattitude” site has just published a comparison of Scandinavian countries’ excess deaths, with Sweden having expected peaks prior to the jab’s appearance, but all other countries having persistent increases only since the jab. All countries now have similar “vaccination” rates.
The plausible explanation is that exposure to the virus pre-jab provides good long term protection against all-cause mortality, but being jabbed prior to exposure does not.
To me, this ties in with the IgG4 data, as well as our knowledge on humerus versus mucosal immunity.
Another piece of the jigsaw for those who retain the power of cognitive thought.
Wow, I’m so glad I decided not to get my third dose! After very grudgingly getting the first two in April/May 2021, I stopped there. The third dose seems to be the Rubicon.
I clearly remember Prof Bhakdi saying in one of his early podcasts back in 2020/21 warning about the dangers of the spike protein in the jabs, that if you have the first two jabs for goodness sake don’t have a third as the dangers will increase significantly with every subsequent jab.
You can find many of his interviews/podcasts on Bitchute ….. he is well worth watching.