Report Slams Governments and Media for Spinning Climate Alarmism From IPCC Reports Without Scientific Evidence
A damning new report has blown open the process by which some of the science work presented by the UN’s Intergovernmental Panel on Climate Change (IPCC) is twisted to fit a political narrative through the accompanying Summary for Policymakers (SPM), which is compiled by governments. Further spin is then applied by press releases, which are reported mostly without question by the incurious media. The investigative report written for the Global Warming Policy Foundation (GWPF) shows a large gulf between the science presented and the perception of the public. The progression from the initial IPCC report to press release provides “ample opportunities” for the message to be distorted, “either wilfully or not”.
In the latest Summary for Policymakers issued last year, the ‘infamous hockey stick’ was revived showing little global warming over 2,000 years, and a sudden, dramatic uptick over the last 150 years. The hockey stick first appeared in the third IPCC assessment report in 2001 but was omitted from subsequent work. It was the creation of the IPCC author Michael Mann, and was widely debunked since it ignored the higher temperatures in the medieval warming period (MWP) and subsequent cooling in the little ice age (LIA).

Figure 1 above “illustrates very clearly” how the science can be lost in translation, the report notes: “Figure 1, or discussion of it, does not appear anywhere in the body of the report”. Yet the SPM is presented as an easy and more concise guide to the full AR6 IPCC report.
The GWPF report is written by the retired physicist Dr. Ralph Alexander. He notes the widely reported statement made by UN Secretary-General Antonio Guterres last year following publication of a supplementary IPCC working group report. It was a “code red” for humanity, claimed Guterres, adding: “The alarm bells are deafening, and the evidence is irrefutable.” Alexander notes that the wording may have been chosen for maximum political impact, but it had “little connection” to the science reported in the latest assessment report known as AR6. As if that was not bad enough, “the scientific message becomes even more contorted as the media and environmental organisations pick up on the IPCC’s press releases,” said Alexander.
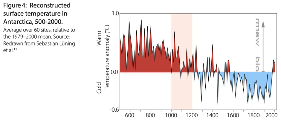
The various warming periods over the recent past have long been disputed by climate alarmists, eager to place all the blame for temperature rises on humans burning fossil fuel. But there is strong evidence for warming in the medieval period, with AR6 citing a 2016 summary paper from two Danish climate researchers, Christiansen and Ljungqvist, that found nine temperature reconstructions had their warmest day in the 20th century, compared with 67 in medieval times. In addition, alarmists try to suggest that any warming only occurred in small areas of the northern hemisphere. But Alexander presents the graph below that shows a temperature reconstruction for Antarctica.

As can be clearly seen, the area had an extended warming period followed by a distinct period of cooling. Current warming is barely registered.
One critic of the Mann hockey stick is the Canadian mining analyst Steven McIntyre. He is said to have discovered that – regardless of the IPCC’s deceit in displaying a graph in the SPM that is not backed up by the assessment report itself – many of the temperature reconstructions cited in AR6 are faulty, “because they rely on cherry-picked or incomplete proxy data”.
The evidence gap resulting from what the GWPF report calls “whispered messages” from the IPCC assessment report to the Summary for Policymakers is shown to be distorted further in the IPCC press releases. Many of the changes observed in the climate are claimed in the press releases to be unprecedented in thousands if not hundreds of thousands of years. Alexander notes there is no justification for calling changes unprecedented in “hundreds of thousands of years” – the press release has “no basis” in either the AR6 or SPM, he writes.
One media outfit that picked up on the hockey stick was Yale Climate Connections, which suggested that to find a warmer period than 1850-2020 it is necessary to go back more than 100,000 years. It described the IPCC report as taking “an arresting new look at observed global temperature”. In just three whispers, noted Alexander, the IPCC’s relatively neutral stance on the MWP and the LIA, “has disappeared and been transformed into the hockey stick”.
Alexander also examines the treatment of “marine heatwaves”, with the latest SPM declaring with “high confidence” they have approximately doubled since the 1980s. He notes that this strong statement is not justified by the discussion in the underlying report, “which fails to present any convincing empirical evidence for such an assertion”. In fact, he notes that the IPCC cites a paper revealing that marine heatwave frequency rose by only 34% from 1925 to 2016, not the 100% that would be “doubling”.
Earlier this year, two American atmospheric scientists, Professors Richard Lindzen of MIT and William Happer of Princeton, told a U.S. Government inquiry that climate science “is awash with manipulated data, which provides no reliable scientific evidence”. They were particularly scathing about the IPCC summaries for policymakers which are written primarily by government representatives, and are often compiled before the full assessment report is completed. In their opinion, the summaries are “merely government opinions”.
Presumably they think even less of the press releases which are fed to unquestioning journalists and published as tablets of stone to further the progress of the command-and-control Net Zero political agenda. As a result, concludes Dr. Alexander, the IPCC’s “fairly impartial” stance on past warming trends and marine heatwaves “becomes warped” to the point where agenda-driven governments, via the Summary for Policymakers, can declare modern warming to be unprecedented.
Chris Morrison is the Daily Sceptic’s Environment Editor.
To join in with the discussion please make a donation to The Daily Sceptic.
Profanity and abuse will be removed and may lead to a permanent ban.
The IPCC is a scam. It was originally setup on the false assumption that AGW is the main reason for climate warming. They do not seriously look at effects from sun, cosmic radiation and even clouds. It’s all about CO2 and anyone else proposing alternatives theories are simply dismissed. On the other side of the coin, even if you did assume it all correct and we are heading towards a manmade catastrophe, they haven’t even done any sensible assessments on whether the crazy Net Zero plan can actually be implemented. Never mind will it make any difference! Simon Michaux, an Associate Professor of Geometallurgy at the Geological Survey of Finland (GTK) recently did a video presentation to the Sustainable Minerals Institute in Queensland University, Australia on his new study of Net Zero: Assoc Prof Simon Michaux – The quantity of metals required to manufacture just one generation of… – YouTube This is from Sky News Australia talking about the same study: Simple answer is we can’t do renewable energy the way it is being ‘planned’ | Sky News Australia The bottom line is it’s not possible. So why are we messing around with all this unless it’s not about the… Read more »
Because “something must be done” – at least, that seems to be the attitude of certain politicians. The fact that they don’t know what to do or why is beyond their comprehension, a cynic might say.
The sad thing is that, like Covid, we will eventually see climate change just disappear from discourse, with those who promoted it simply washing their hands of it and pretending they never believed in it. Mark my words. it’ll serve it’s political purpose and then be gone into a puff of embarrassing methane. Yes it will fart out of existence and even Greta Thunberg – by then youngest ever Swedish PM – will pretend she never thought it was that much of a big deal and gaslight anyone who suggests otherwise.
It will only stop once the political agenda’s have been firmly put in place and no further scaremongering is required.
You are spot on but in the meantime we will run out of energy if we rely on renewables without a method of storing the energy output from renewables, particularly wind and then solar. There is no viable storgae system anywhere in the world or one that is even close beyond a few short life lithium batteries with little storage capacity. New York needs 28 days of storage to make the energy supply sustainable but they have currently 8 minutes!!
Scotland has a energy capability from wind of almost 50% yet the actual contribution to power used was 8% – wrong place, wrong time and intermittment. There is always a huge difference between capability and actual use and this is compounded by wind turbine efficiency of about 28%.
The need for back-up by nuclear and fossil fuel energy production is paramount yet we are investing in wind particularly and solar when those types of energy do not have the intensity to make steel and other basic products which only fossil fuel energy can supply. We are being lead up the garden path by unscientific lies and ignorant politicians. Thank goodness for journalists like Chris Morrison.
The IPCC Summary for Policymakers will say anything that can be used to support the case for a one world government.
This is why the brainwashed dreamers glue themselves to stuff, chuck paint at stuff, climb on top of stuff. etc etc. Is it any wonder that if you think the planet is going to boil by next Tuesday you feel you must do all of that and more. And trust me there will be more. Every single human activity is alleged to cause “Climate Change”, which means every human activity can and will be targeted. Pretty soon we will have the dreamers tipping over our supermarket trolleys because the contents all cause global warming. But what the dreamers fail to appreciate, because they are riddled with confirmation bias, is that these claims of climate apocalypse come from worst case scenario’s from climate models. They love to call this “science” and they love to call the modellers “scientists”. But models are no more “science” than a calculator is maths. Plus all of the models have all been totally wrong till now. But still governments continue to base policy on these models, and media continue to spout “climate emergency” based on models that they insist is “science”. ——-The absurdity is actually confounded even more by the fact that the UK government does… Read more »
This video is well worth watching.
“Methane – The Irrelevant Green-House Gas” Dr Thomas P Sheahen – YouTube
An excellent article, I always enjoy reading those by C. Morrison, an adult in the gloom/ room (delete as applicable) please keep them coming.