Vaccines Have Failed to Prevent the Spread of Covid, Israeli Study Concludes
An Israeli study has looked at how much difference a fourth Covid vaccine dose makes compared with a third dose.
The study was restricted to triple-jabbed healthcare workers, and more specifically to those whose antibody levels were in the bottom 40% of the antibody levels in the cohort (a group comprising around 29% of the cohort). Of the 1,050 eligible healthcare workers, 154 were given a Pfizer fourth dose and 120 Moderna. The rest formed a triple-jabbed control group.
Measuring antibody levels, the researchers found an increase by around 10-fold following the fourth dose, restoring antibodies to the peak levels they hit following the third dose, though no higher.
The study was originally intended just to measure antibody levels and other indicators of immunogenicity. However, the Omicron surge in the country was so large that despite being a small study, enough infections occurred within the study groups to allow an estimate of vaccine effectiveness. The participants were PCR tested each week. The researchers reported that ‘breakthrough’ infections were common and, though mild, had high viral loads. During the study period, 25% of the control groups (triple-dosed) tested positive compared with 18-20% of the four-dose groups. This gave a fourth-dose versus three-dose vaccine effectiveness against PCR-positive infection of just 11-30% – though the small population size led to wide confidence intervals ranging from minus-43% to 55%.
Among the four-dose groups, there were 52 ‘breakthrough’ infections, of which 39 (75%) were classed as symptomatic. The vaccine effectiveness against symptomatic disease was estimated at 31-43%, though again with wide confidence intervals.
The symptoms of all PCR-positive infections were typically “negligible”, the researchers report, and in many cases the infections “would not have been tested or reported, without the active surveillance”. Yet they had relatively high viral loads (Ct around 25), so were presumably infectious. Thus, with a quarter of triple-vaccinated and a fifth of quadruple-vaccinated healthcare workers becoming infected and apparently infectious during the wave, the researchers conclude the vaccine programme is a failure as it is not preventing the spread of Covid: “The major objective for vaccinating [healthcare workers] was not achieved.” However, the apparent efficacy against severe disease and death means older and vulnerable people may benefit from a fourth vaccine dose, they say.
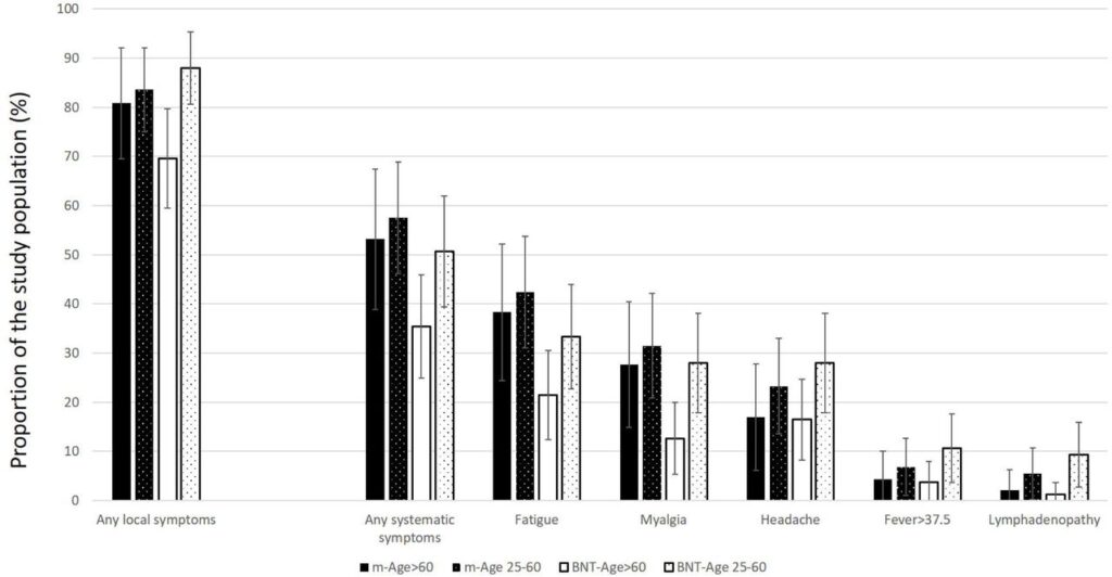
The study also looked at safety. It found that 80% of Pfizer recipients and 40% of Moderna recipients reported some kind of adverse reaction, though none were classed as serious. The adverse reactions are summarised in the chart below.

Larger studies on the efficacy and safety of the fourth dose, which has now been rolled out (having gone ahead without waiting for studies such as this one), are forthcoming, the researchers note.
To join in with the discussion please make a donation to The Daily Sceptic.
Profanity and abuse will be removed and may lead to a permanent ban.
Vaccines?
Oh, those vaccines.
Worst Thing I’ve Ever Been Blamed for, Am I Now a Terrorist?
https://articles.mercola.com/sites/articles/archive/2022/02/21/nih-director-blames-mercola-for-pandemic.aspx
NIH Director Blames Dr. Mercola for Pandemic Continuation
Analysis by Dr. Joseph Mercola
it’s not over yet. Join us
Monday 21st February 2.30pm to 3.30pm
Yellow Boards By the Road
High St,
(near Marlow Suspension Bridge & All Saints Church)
Marlow SL7 2AA
Stand in the Park Sundays 10am make friends, ignore the madness & keep sane
Wokingham Howard Palmer Gardens Cockpit Path car park Sturges Rd RG40 2HD
Henley Mills Meadows (at the bandstand) Henley-on-Thames RG9 1DS
Telegram Group
http://t.me/astandintheparkbracknell
This obviously calls for a 5th dose! Once every 3 months is just not frequent enough!
A continuous drip. Big opportunity for the medical supply industry to sell mobile drip stands and giving sets, portable mini-freezers and for Pfizer et al to sell bags of their snake-oil.
Might be time to go short pfizer and moderna
They may become necessary to life one day, after everyone’s immune systems have been destroyed by insane scientists.
It just shows your lack of faith in the treatment if it fails.
Only the firmest faith in “The Science” ensure you remain covid free.
It’s not like a witch doctor trick at all.
Never mind, 4 doses will definitely work.
4 a month, or 4 a day?
Four an hour
The share price must be kept up
Looks like the Phantom Downticker is on a tea break, or similar. I hope he/she/it isn’t on timed piecework.
Will these boffins get a medal, for stating the bleeding obvious?
Why believe them, though, as opposed to Chilean, Kamchatkan or Botswanan experts?
Or, as opposed to the consistent vaxxine sceptics: US?
1+1 still equals 11 in clown world.
https://covidmythbuster.substack.com/p/no-one-would-ever-accept-permanent?utm_source=url
This focus on measuring antibody levels might well be another unscientific dead end. Literally too.
Yes – because, firstly, it is T cell activity at the mucosal surface that matters not systemic antibodies, and secondly if the antibodies are matched to the original protein spike they will be of no use to mutated protein spikes no matter the volume of antibodies.
But there is another issue. The body does not maintain antibodies in the bloodstream in perpetuity for every pathogen it has encountered, this would simply be resource draining and physiologically impossible. The point of vaccination, either by natural exposure of vaccine product, is the blueprint for the antibody is ‘on file’ so the immune system can go into immediate production if it is exposed to the pathogen again. Usually a few weeks after the infection has been dealt with, the body reabsorbs the antibodies… recycling.
Vaccinating regularly for a single pathogen will preoccupy the immune system producing a particular antibody, with resources nit available to deal with other infections.
What other virus have we ever vaccinated against on an on-going short-term basis? None of this is normal or good medical practice.
Excellent points made.
The participants were PCR tested each week
I stopped there
https://hive.blog/worldnews/@francesleader/email-exchange-with-uk-mhra-exposing-the-genomic-sequence-of-sarscov2
I’m astonished by the continuing references to “results” from such widely discredited “tests”.
When they start talking about the cycle settings used, I might read on – but, given the amount of actual lying – could we believe what they tell us?
Ah but the PCR test is the gold standard, the BBC say so, so it must be true. /sarc
You can trust them – they say so on their website.
Tony “miranda” Blair: `I think I’m a pretty straight sort of guy’
The gold standard is a classic Bill Gates term. He loves it and uses it to elevate whatever he wants like the CDC or the PCR test.
I think we should all start referring to the DS as the gold standard for covid, climate change and political correctness journalism. As in:
“It was published today on the Daily Sceptic, which as we all know is the gold standard for COVID journalism.”
As we’ve learned, if you say it enough times people will believe it. The human mind simply can’t withstand hearing something many times and not start believing it.
That’s true. I remember watching Shrewsbury Town FC in the 1960s at The Gay Meadow. Ever since, I’ve believed they’re the “greatest football team, the world has ever seen”.
Ironically enough the “gold standard” for money is not gold – but fiat paper (or computer digits). People who still believe in gold as money are called “gold bugs” – an obvious pejorative term designed to vilify those who believe in “real money” or history’s money.
Ah, but has that been confirmed by a Blue Ribbon Committee?
Do 98% of PCR Scientist agree?
😆
It’s always “97%”
Is there any country with a currency still on the gold standard?
Its not just the number of cycles thats the problem but also the type of primer and probe used and the fact that the Lighthouse Labs test ‘positive’ with just one gene.
Ah, you want serious facts. I’m waiting for the crumb of hope that they think it might be worth pretending to be “scientific”.
Scientific has been replaced by The Science™️.
“the science” is about what they want you to believe is true, not science which is a way of discovering what is NOT true.
Corman drosten paper, peer reviewed (for what it’s worth) in 24 hours.. 5+ assays, who knows what assay companies use, we know the CT is way too high to be reliable
The WHO guidance on interpretation of weak positive results, that came out LAST January was it, basically this is us admitting the tests aren’t reliable
Based on a non isolated and purified virus, not without manipulation of the definitions
Francis leader email exchange exposes it, jab dna NOT based on a sample taken from an isolated virus from an infected person
Still stand by what I’ve said many times here, a virus is not what we’ve been led to believe
Never mind “cases”, which does NOT mean “sick people”. Even the CDC have stated publicly they will no longer use PCR as
Yes but they change the coin they flip every few days.
A vaxxed acquaintance told me that he believed there was ‘miscommunication’ at the start of this insanity. As in, regular jabs were always the end goal, but TPTB didn’t think we’d accept that. So they went down the 1-2-booster-booster-boosters to infinity path.
This fellow is quite accepting of the idea that he will be getting ‘boosters’ for the rest of his life and he’s barely thirty.
I can’t understand how he can start at ‘the government lied to us’ and get to ‘But I’m comfortable with that, I’ll go along with what they say’.
It’s the widely-occurring Resistance-To-Buyer’s-Remorse Syndrome.
Sunk needles, sunk costs. We’re three in now, we need to see it through. Keep making those sacrifices or else all the sacrifices we sacrificed will have been wasted.
If you’re wrong, and even subconsciously realise it, you’d better scrabble round for anything to hide behind, even more dislogic.
The government goons are trapped by their own rhetoric.
I have encountered this sort of incapacity to reason so often that I wonder if brain fog is an almost standard “side effect”. I’m quite serious.
I’m not sure this is true. What I suspect we are seeing is the younger groups’ concept of freedom is different. They have been taught freedom is freedom FROM not freedom TO. When most of us think of freedom it is freedom to. Freedom to marry anyone you like, freedom to start a business, freedom to associate with whomever you like. Many on the Left focus on freedom FROM. Freedom from poverty or destitution. Freedom from “online harm”. There are many examples. The fellow above is describing the consequences of this. The young man wants freedom from harm caused by a virus. He expects the government to provide this. That’s why there is no examination of alternative approaches e.g. Vitamin D, zinc, magnesium. General improvements to lifestyle. Encouraging people to go outside rather than locking down. There was minimal discussion of obesity as a major factor in all this, for example. The acceptance of lockdown itself is a major consequence of this kind of thinking. Protect me from a pathogen. It makes perfect sense when you think like the modern Left. The antidote is to remind people of the superiority of real freedom, freedom TO. Man up, be informed, be… Read more »
Good answer. Thanks.
“Freedom from” means protection, not freedom. And protection is actually the opposite of freedom.
As Orwell explained so well, totalitarianism involves the corruption of words. This is a perfect example.
Couldn’t agree more 🙂 That’s why we must remind them.
I’m talking about the people (regardless of age) who believe that the jabs are “safe and effective”, but they won’t work unless everyone is jabbed, wears a mask and practises “social distancing”.
I know people in their twenties who believe this, people in their eighties and all ages in between. The only thing they seem to have in common is that they agreed to be jabbed.
Low grade thinking alas, incapacity to critically analyse, and it isn’t age related. If Jones wears a mask, Smith doesn’t need one to be protected from Jones or to protect Jones. If Smith is vaccinated Jones doesn’t need to be vaccinated to be protected from Smith or to protect Smith.
This assumes masks and vaccine are effective; if they are not it doesn’t matter who is/isn’t or both wearing a mask or is/isn’t or both vaccinated.
Maybe a bit of a generalisation I am 27 and firmly believe in Freedom TO.
Add to the list: freedom from self-sufficiency, freedom from self-responsibility, freedom from self-respect, freedom from self-discipline.
a state pet basically
‘When prophecy fails’
Age 30 and “boosters” for the rest of his life! As VAIDS kicks in at say booster 3 or 4 it won’t matter all that much. He is already a dead man still walking.
Ah, but they only lied to him because other people would be too stupid to comply. Unlike smart-brained individuals like himself who are well informed through listening to what the strangers on his Telescreen who loathe him tell him to do.
The bit that worries me most is the seeming lack of awareness among the young adults of what’s happening to their freedoms. Either they’ve been conditioned by 25 years of diminishing value in education or they are too enslaved by their social media worries.
(I’m not sure I was any more ‘aware’ at that age, but a digital world takeover was not possible back then. We had physical banks, physical money and physical friends.)
Let’s hope that ‘woke’ starts to include some useful awareness as well as the flimflam stuff.
They believe in nothing, not even in freedom.
Technology has changed, but we haven’t, at least not as fast as that. There always was a lot of propaganda via the press and broadcast TV/radio back in the 1960s/70s. Cold War, Vietnam, Space Race – a list as long as my arm. My school teachers and so on were not immune to that either.
And now the official story will change, they were never meant to prevent the spread but make the virus harmless if infected. That story will change too in time.
Were they ever, pfizer only tested healthy, non-elderly people who weren’t taking any other medicines, pregnant etc, for prevention against death and serious illness iirc.
The study was set up to make failure impossible, and even considering that they had people die and had to fudge the data/un-blind the study, choose who they tested and included in the data, etc, to get it through.
And even then they were shown to have an Absolute Risk Reduction of disease of only 0.84%… a rounding error. There is still no falsifiable data on prevention of hospitalisation or death. Since vaccinated people end up in hospital and some die, claims of reduced hospitalisations admissions and deaths cannot be supported. It just takes one death, one hospital case to falsify the claims.
Correct. The clot-shot manufacturers never made any claim except for protection against serious disease and death, and even then they had to fiddle the figures.
It was The Science (i.e. Fauci, Witless, Pantsdown et all) who then started telling us that the clot-shots protected against infection and transmission, based on absolutely nothing.
Even then all cause mortality was lower for the placebo group (which they tried to cover up)
This should’ve been enough to prevent a mass rollout of the jab.
Why are sceptics still discussing ‘covid’ data as if it has any meaning?
Agree with you entirely. It’s a bit like being in a prison cell and having a discussion about what paint the used for the walls and whether it might harm you if you lick it. Very little of the ‘Covid’ data/numbers/statistics can be proved nor disproved. To me, what the really important issue is, is that we are being mercilessly controlled by our governments – travel restrictions, forced brainwashing, coercion to get the ‘vaccines’ they are flogging; none of this is likely to stop until those running the show are hunted down and dealt with… and, as we have seen, that’s just not going to happen. So it’s another ‘protest’ in London next Saturday – which is really just a few hours meeting friends and mooching about, then going for coffee and cake, and catching the 5pm train home. Apart from the illusion of “it’s all over” with fewer people wearing face masks, the agenda remains firmly in place with Boris and pals treating the public with the derision they deserve. My best guess as to what will happen is that a 4th ‘vaccine’ is on the cards for the UK (and the rest of Europe), the Vaxx Pass will… Read more »
Yawn
As always alot of negativity but absolutely no ideas about how we would be more effective in fighting back.
In the absence of any positive suggestions why don’t you stop whingeing about people attending ‘protests’
Mr Fox, you deliberately leave out the possibility of using the ‘kebab stick’ to get round vax requirements for travel in much of the EU. Although the US has both as requirements I agree. Maybe the quickest route to more ‘freedom’ is to find ways of lobbying governments not to renew the EU travel pass for a further 12 months. Its still a ‘proposal’ at the moment, there will I hope be several countries not too keen on its renewal now.
Disastrous looking poll data for the Dems leading up to mid terms might , just might, persuade the US to tone down their Fed border travel restrictions.
If these outcomes were favourable, most other countries would remove their requirements in a flash.
“Apart from the illusion of “it’s all over””
We know very well it’s not “all over”. We’re not stupid.
Tell us about the effective approach you’ve taken to pushing back against covid measures, apart from tasteless mocking of people going to protests.
Does anyone know the level of reported ‘vax’ injuries in Israel? Is it comparable to the US and the UK?
This is approximately the same efficacy as for the TB vaccine, which was eventually withdrawn as a vaccination given to all 14 year olds to only being administered to vulnerable groups.
” OK, so the ‘vaccines’ haven’t stopped the spread of ‘Covid’, we all knew that, but what they have done is to have prevented millions from dying of ‘Covid’ or, at least, made the symptoms of those who got ‘Covid’ much less worse than what they COULD have been. ”
Well, that’s what all the sheep are saying!
“Better have some more ‘vaccinations’ just to make sure we are safe from the nasty virus.”
I suppose there is no harm in chipping away at the vaccine narrative with this sort of study.
I doubt it will be as convincing to the politicians and technocrats as a proper truckers protest, though.
For all their talk about science, what the policy makers really understand and respect is a good show of force and power.
Sadly that makes them self-satisfied solipsists, no?
You might have to give that to me in plain English.. 🙂
Her Maj getting Covid must make an awful lot of people think that the shots that she will have had must be pretty useless.
They’ll think the jabs will have saved her.
Unless she croaks, and then we’ll have a brief revival of COVID hysteria.
The rule is, if you’re in your 80s or 90s and die of COVID, they make a big deal out of the cause of death. If you’re young and suddenly die, then the cause of death is of no interest and not mentioned at all.
If the Queen were to die, the BBC would have a dozen different experts on every 5 minutes insisting she died WITH CoVid not FROM CoVid, because being triple jabbed and masked whither she went, made it impossible for her to die FROM CoVid unlike car crash victims with fractured skulls who definitely died FROM CoVid because they had not been vaccinated but had tested PCR positive two weeks earlier. QED.
Oh, I think they’ll shift straight to “This is why we absolutely need 4 doses, just like hugely successful Israel”.
The gaslighting is roaring at the moment.
Gone too soon
Christopher Stalford: Stormont to pay tribute to DUP politician – BBC News
Nothing on cause of death.
Gone too soon
Jamal Edwards, music entrepreneur and Youtube star, dies aged 31 – BBC News
Nothing on cause of death.
A short/sudden illness apparently.
Looks like he got in with a bad crowd which will have been promoting the evil juice to the young on behalf of their corporate masters:
After starting on the right pathway doing great things:
The son of a Loose Women presenter who we must pray for as her life wil never be the same again. We need to establish whether he had the injections but its almost guaranteed he did because when you become influenced by the agencies of Satan, like the Royals and the Brits, and you give yourself to corporate culture, you are no longer following the pathway of God, you are entering a world which promotes greed and evil and Satanic murderous injections to children. This is the story of the world we live in.
I would be worried about this. The fact that the quadruple jabee’s had a high viral load should be investigated. Omicron is mild but if a new strain was more serious then these kind of infections in combination with them being more infectious would cause big problems.
You mean like Marek’s disease? It does seem to be a risk. They have rolled a die on this so-called vaccine. There are several horrific trajectories going forward.
The way evolution works is that any organism that acquires characteristics by mutation making it better adapted to its environment will be more successful at reproducing, will dominate and replace existing versions of the organism. Evolution is competitive. The serious characteristic of a new strain would make it far less adapted, less successful at reproducing and would probably disappear without being noticed.
The reason why other SARS virus quickly disappeared is because they were serious, made people quickly and obviously sick and thus immobile/easily isolated.
Gone too soon
Steve Black: Newcastle United and Falcons lead tributes as mentor and coach dies aged 64 – BBC Sport
There is someone here who represents the public truth, who exemplifies and encapsulates and succinctly expresses exactly how the people at large think. This person’s breadth of knowledge and opinion is extraordinary, and their ability to articulate the prevailing mood is a thing of wonder and beauty. I am of course talking about the Phantom Downticker. If you post a comment here, no matter what it is, the PD disagrees with it. Whether you are making a pertinent point, or ‘aving a laugh, whether you are sharing valuable information or cultural observations, the PD is against everything you say and think and offer. The Phantom Downticker is your sister-in-law, the guys at work, the other mothers in the school group. The PD writes for the Daily Mail, and appears on the BBC and is propped up at the bar of your local. The PD is the final result of generations of media befuddlement, blatant lies and propaganda, a defective education system and the spiritual fog that has descended upon humanity. PD is fully vaccinated, and funnily enough, PD has also had COVID a couple of times. PD is the worst of us. Don’t be like PD. And hey, PD if… Read more »
PD is the Question Time audience
PD is a TV Licence Holder
PD wears a mask when alone in a car
PD is an informant and collaborator
PD is the person, who can’t see a sick relative in hospital.
PD gave up downticking a while ago – just after a particularly good John Dee post.
At the moment, only two more have appeared – and they might well be the result of independent thought.
Perhaps PD has seen the light!
A Damascene conversion seems improbable for a covid bedwetter.
Yep – I read that wrong. We’ve both been punished.
PD is a bedwetter.
In dogs it is known as scent marking when they cock their legs on everything.
Please stop saying vaccines they are not vaccines
The headline should read
‘What Some People describe as Vaccines Have Failed to Prevent the Spread of Covid, Israeli Study Concludes’
It’s not difficult
’Vaccine’ is a much abused term which when assigned to a drug carries a lot of protection from questioning on grounds of efficacy and harm.
We should probably just call them ‘experimental mRNA gene therapy intramuscular injections’ to distinguish them from e.g. ‘approved weakened whole virus intramuscular injections’
Agreed. Last year, in the pamphlet that encouraged me to use it, they said: “We do not yet know whether it will stop you from catching and passing on the virus”, and between the lines they admitted that it is, in effect, a mitigation drug, if you end up being infected. They would have had awful difficulty to get it approved with a suitable name that described it’s function though, compared with calling it a “vaccine” under Emergency Use Authorisation.
Vaccine: produces immunity to a specific disease. mRNA – it us now admitted does not provide immunity just makes CoVid Less Serious™️ when you get it. Therefore it us not a vaccine.
For nearly everyone unvaccinated, natural immune response makes CoVid ‘less serious’, in fact nit serious or noticeable in 99%.
‘ just makes CoVid Less Serious™️’
This last lie about the ‘vaccines’ is about to fall. The trials were a fraud
Another day, another young public figure dies with a long biography and not even a hint at the cause of death.
This is becoming an every day occurrence. BBC seem to now have a template for how they report these sudden deaths.
Pre-scamdemic they would at least say that the ’cause of death is yet to be announced’ but they don’t say this now, most likely because it means they’ll need to report it.
And a sudden ‘inexplicable’ death of a DUP Northern Ireland politician of similar age, leaving a wife and four young children.
Yes I saw that report too. Bill Gates was recently quoted saying he expects another pandemic soon. Can’t help but wonder if he’s referring to an expected wave of deaths from the ‘vaccine’.
So after 1, 2, 3, 4 jabs they have finally accepted that the vaccines have failed completely to prevent the spread of covid … but now all those who had the jab will have to live with the very real possibility of mid-long term health issues caused by these untested jabs and in some cases maybe even fatal consequences – some are now practically ticking time bombs just waiting to go off with sudden heart seizures because of the jab.
Keep your voice down, anything can set them off!
Exactly. That’s why you will need 5, 6, 7, 8, 9, 10…. ££££££££ jabs.
I could’ve told you that…
Well,the obvious solution is a fifth dose. That will do the trick…
It’ll be remembered as the Great Jabython, that’s all, with scientists still saying ‘don’t stop now we’ve nearly cracked it’
Slightly off topic but if you can bring yourselves to read the Guardian re a main article about “lifting restrictions”.
What an eye opener the comments are, then again, it’s the Guardian so maybe not…
Unfortunately I was banned from commenting about 18 months ago but please make a sensible comment on there if you can.
Guaranteed to be a case of lighting the blue touch paper.
I was banned too, even though I was a paying reader, so speech isn’t free on the Guardian even if you pay for it. But then I expect that Billy Goates is/was paying a lot more than the subscription readers.
Amazing how the brainwashed think that if they go into work they could infect the ‘vulnerable’, the nudge unit have had 100% success with Guardian readers
Welcomed their fellow socialists to these shores and informed on opposition.
grauniad is ground zero for soaking mattresses
dunno what they ‘d have done in June 1940 with Nazi invasion on the horizon. gone to Canada I imagine
And meanwhile, they have this article too:
https://www.theguardian.com/society/2022/feb/21/england-second-pandemic-mental-health-issues-nhs-covid
Has anyone explained the concept of ’cause and effect’ to the Guardian and its readers? Has it not occurred to them that the longer retstrictions go on, the worse the negative impacts will become?
And anyone who is expecting “help” from the bunch of charlatans which constitutes the mental health profession is either deluded or deceived.
‘… ‘breakthrough’ infections were common and, though mild…’ Yes amazing! A virus that produces symptoms so mild the infection often goes unnoticed, is producing…. mild ‘breakthrough’ infections. We are meant to infer this is all due to the pseudo-vaccines. However, the apparent efficacy against severe disease and death means older and vulnerable people may benefit from a fourth vaccine dose, they say. Apparently? Apparent from what? The trial did not include ‘older and vulnerable people’. Older and vulnerable people get the disease seriously or die because they are older and have existing life-threatening disease. No matter how many doses of the pseudo-vaccines they get it won’t make them younger or cure their existing diseases. Another dose will however make them more susceptible to infection in the following 14 to 21 days, more likely to get the disease seriously and die. The narrative is so deeply entrenched that even when the data consistently shows these pseudo-vaccines are as much use as injecting sterile water, and that they are attempting to vaccinate against a virus that is harmless to 99% of the population, these witting dupes and useful idiots still won’t say what is obvious, they are just chasing their tails. Why… Read more »
“Sadly, the virus itself – particularly the variant Omicron – is a type of vaccine. That is, it creates both B cell and T cell immunity. And it’s done a better job of getting out to the world population than we have with vaccines.” – Bill Gates
Sadly?
no money in it
It’s taken 14 months for this evil covid contrivance too begin it’s collapse. The critical thought cohort’s who called this out from the start, are on the cusp of victory in revealing the bastardised science used to coerce billions into accepting a potential death sentence in the guise of a “vaccine”.
But as many know, it was never about a fictitious plandemic, the real fight is about to commence. As the US and UK deep state try to ignite a war with Russia to divert your attention, the laws that government put in place that removed our freedoms remain in place.
The infrastructure that was used for track and trace and vax passports remains in place and is being modified as we speak so that it can be used in the inevitable introduction of the PROGRAMMABLE TOTALITARIAN CBDC AND SOCIAL CREDIT SYSTEM BASED ON THE CHINESE COMMUNIST PARTY MODEL! The fight for our freedoms, and our children’s freedoms is imminent. Will you die on your feet or live on your knees? The lives of future generations will depend on our bravery…or lack of it!