More Evidence for the ‘Healthy Vaccinee’ Effect
How much protection do the vaccines provide against severe Covid? Some people claim that getting vaccinated reduces your risk of death by as much as 90%. They point to charts showing massive disparities in hospitalisation and death rates between the vaccinated and unvaccinated.
However, these crude comparisons may overstate vaccine effectiveness. A study published last year by the U.S. CDC found that vaccinated people were less likely to die of non-Covid causes, suggesting that they’re inherently healthier and/or more risk averse than unvaccinated people.
This ‘healthy vaccinee’ effect means that part of the disparity in death rates between the vaccinated and unvaccinated is due to factors other than vaccination. So even if currently-unvaccinated people got vaccinated, they’d still die from Covid at higher rates than currently-vaccinated people.
Now, I’m not claiming that all or even most of the disparity in death rates between the vaccinated and unvaccinated is due to the ‘healthy vaccinee’ effect. I’m simply claiming that crude comparisons overstate vaccine effectiveness – which is probably less than 90%.
Okay, but is there any evidence for this form of ‘selection bias’ – as it’s known in the jargon – other than the CDC study? Yes: the ONS documented the very same phenomenon in a report published last year. See the table below, which shows age-standardised mortality rates by vaccination status:

Looking at the second column, unvaccinated people have a higher non-Covid death rate than all four groups of vaccinated people.
Note, however, that the ratios in the first column are substantially greater than those in the second column. This implies that the ‘healthy vaccinee’ cannot explain all or even most of the disparity in Covid death rates between the vaccinated and unvaccinated.
On the other hand, the ratios would presumably be smaller if the comparison were restricted to vaccinated people who’d received their second dose more than, say, six months ago. We know that vaccine effectiveness wanes over time – for both infection and serious illness.
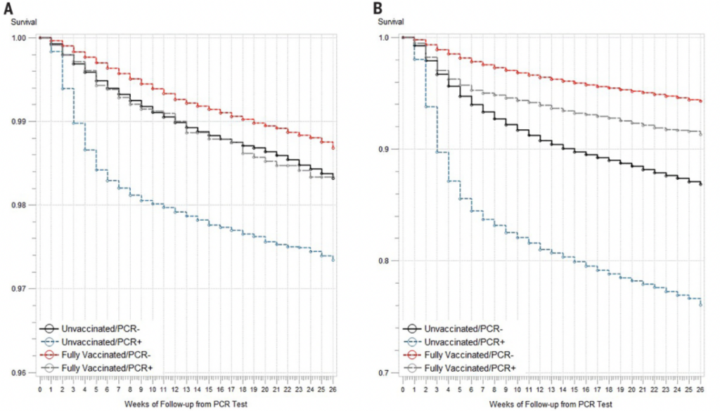
The ‘healthy vaccinee’ effect turned up again in a study published in Science. Barbara Cohn and colleagues analysed a large dataset on U.S. veterans, and found that survival rates among over 65s were higher among vaccinated individuals who tested positive than among unvaccinated individuals who tested negative:

Note: the left-hand chart corresponds to those aged under 65; the right-hand chart to those aged over 65. The researchers did acknowledge that selection bias may have impacted their results, writing:
Patterns of survival for those with a negative PCR test by vaccination status suggests there are underlying differences in unvaccinated compared to vaccinated persons, and that we did not measure or account for in our analysis; these differences may contribute to the different risks of death we observed.
There’s now fairly robust evidence for the ‘healthy vaccinee’ effect, at least in Britain and the U.S. The next step would be estimating how much of the disparity in death rates between the vaccinated and unvaccinated it can account for. Hopefully someone with the requisite data will attempt this soon enough.
To join in with the discussion please make a donation to The Daily Sceptic.
Profanity and abuse will be removed and may lead to a permanent ban.
lol …
I’d have thought that Adele, now she’s no longer a super-sized singer, would have felt less vulnerable to the Wu-flu, especially in its new customer-friendly guise.
I thought being super-sized was her principal attraction? What were the others?
Has she never heard the term the show must go on.
ADELE You Reap What you Sow Hugo Talks #lockdown
$30k ! To see Adele……….words fail.
The whole discussion is pervaded by the implanted notion that there are those who somehow feel warm to vaccines and those who don’t and there are indeed deeper discussions.For example if you listen to interviews with Djokovic and you have some understanding of the secret doctrine then you will see that he represents the human spirit going into the future. For most people vaccines are a good thing. If a person got bitten by a rabid dog then I would wager a 95 percent chance that they would take the post infection rabies vaccine. The idea that there is a certain section of society that is irrationally opposed to all vaccination is absurd and needs to be talked about more.
There is nothing irrational about not wanting to take an untested mRNA jab for which the manufacturers are exempt from prosecution and the results of their tests are being hidden away for over 50 years.
Obviously not but that is the beginning and the end of the discussion for them. You are irrational and illiterate. Not only that but tthey have the brass neck to claim that you are selfish when it is quite clear that they are the ones cowering in the corner.Don’t worry, in terms of the vaccine argument our side will win very shortly. But where we go from there is the real issue. There is a great desire in consumer societies to live a simple untrammelled life. This option will no longer be available.
https://ourdecisiontoo.com//Issue/there-s-nothing-left-to-do-but-go-our-separate-ways/320/
Nice dream but nothing more.
Unfortunately, the desperation for an untrammeled life will mean this is not the end. Sticking one’s head in the sand and hoping it will all go away is only a temporary respite and guarantees the wrong “Reset” will happen. Reset we need but one towards greater democracy not tyranny.
The “irrational” are those who queued for it to go to Corfu!
The Rabies example is not a good one, because in that situation you have already been bitten, so you are in effect “ill”. In that case, the vaccine is basically a treatment for an existing condition (one the will almost certainly be fatal).
There was an example a few years ago about a “vaccine” against some specific form of skin cancer. Don’t know if anything came of it, but the same applies. You’d have a patient who had a problem, and the vaccine is a treatment.
In the case of Covid, most people receiving the vaccine are not ill and will not have any significant risk.
The point was understood.
If there was a tried and tested vaccine with good safety data I would’ve taken it. Now … I don’t ever want another vaccine because I have zero trust in my government who are supposed to protect us against dangerous corporations. For whatever reason our government has lied through it’s teeth and worse still used psychological manipulation to hypnotise the masses.
That is not the behaviour of a democratic government, it is the behaviour of a tyranny.
It reflects the current vogue for there being a complete absence of nuance in any debate. You are either 100% for, or 100% against. We have lost the ability to see arguments from different positions, even to acknowledge that there are other valid viewpoints. This is no basis for a grown up discussion.
Is this is because the “New Generation” of ‘grown ups ” have been infantalised and are therefore stunted at the mental age of eight ( the average reading age)?
He represents something going into the future – that’s for sure.
Interesting. The unvaccinated are going to die at a higher rate from anything and everything than the vaccinated.
The key study is still “all cause” (or non-Covid) deaths among vaccinated and unvaccinated groups. Again, you would expect the unvaccinated to have more deaths, but what if the vaccinated actually now have more deaths (or even the same rate)?
What if” Why the doubt?
I am aware that some hospitals are no more than death camps now. The unvaxxed are treated badly to the point where they are eventually killed off. The NHS has gone from saving lives to taking them. To think people were outside their houses clapping for them seems the height of irony now.
Wife and I had Omicron over Christmas. Worse than a normal cold, and the cough has dragged out, but nothing major. We have both had worse. We both agreed that were it to get more serious, we would not be going to hospital. We’d take our chances at home with out supplies of various medications and supplements.
Exactly our approach also. It’s home doctoring for us now (unless absolutely unavoidable), we just don’t trust these fuckers.
A friend of mine’s father was totally let down by his GP – who refused even a telephone consultation after the mis-prescribing for an existing condition of a new product that made him ill – he was rescued from a hospital , trying to brand him a Covid patient, to recover at home.
He poured abuse down the phone on his reluctant GP, suggesting he practice as a Witch Doctor in Africa (with the phone stuffed uncomfortably in an orifice). he later received a call from the Hospital telling him he had been put on a “Virtual Covid Ward” (I jest not!) for monitoring.
His symptoms were consistent with with “adverse reactions” and contra -indications listed in the small print of the leaflet included with the ‘medicine ‘ he had previously been given……not Covid.
Did they put him on a Virtual Covid Ward [still racking brains to decide how exactly that might work] so that if he Virtually Died, they could add him to their Covid dead list [virtually of course] so desperate are they to keep their death dashboard figures nice and high?
Have you ever read an article where they said antivaxxer found dead at home due to covid? No? Me neither so better to stay home and be the first article about it in case of.
How in gods name do you know you had ‘omicron’?
Is that just John O’Looney, who seems to have had a very bad experience, or do we have other documented evidence?
I’m awaiting a longer statement from him after he recovers. However, he should have had the sense to take vitamin D and eat more healthily … so should all the unjabbed, at a time like this.
Plenty of first hand accounts of people being subjected to hospital death protocols on Telegram. Give them medication to inflame their condition, put them on the ventilator to blow out their lungs – another ‘covid’ death.
I hate to think that it might just be true…but after Midazolam anything is possible.
There is certainly no effective ‘early treatment’ protocol – for example the use of effective, cheap and safe Ivermectin , which is still banned in the UK by the NHS and the Government.
The true scandal of all this is yet to break.
Yes …the stories are out there!
The advice: “Keep Away”!
Let’s revisit the question 10 years from now and see how healthy the vaxxed cohort is.
Exactly so. The figures can be twisted in many ways and they can prove anything they want to, at least in the short term.
Every statistical trend and data point eminating from government sources is a lie based on numerous other lies.
Prove me wrong.
It is a system of death. Teenage suicide increased dramatically in 2014 when social media became all pervasive. Chemical or biological or digital these things operate like ticks on the back of humanity. That is the only perspective that can bring things back into balance. You can’t be addicted to your phone and talk about freedom. Fragile and magnificent as Hardy said of the English consciousness. It will be up to us to make up for the fragility in others.
Or possibly a lot less time than that – we just don’t know (and neither do all those parroting the ‘safe and effective’ line).
It is difficult to come to terms with but you have to allow the choice of the soul. For those that took it they took a certain spiritual path. Perhaps you could liken it to the difference between orthodoxy and gnostism. The biggest revelation to me in all of this was just how much some people are scared of death even though they are so neurotic that they are incapable of perceiving the eternal present. All of this was entirely necessary to show us the true lay of the land. Obviously our country is a bit fucked up but we should be happy for what we have left.This is a major victory of the genius of the English language and English spirit. The famous violinist Hiafetz was asked why he continued to play at a concert when one of his strings broke and he said that it is our duty to make something beautiful of what we have left.
bloody hell those numbers are all over the shop and i don’t know how you can conclude anything but there has been a terrible mistake on the excel spreadsheet haha
Noah, see previous article.
Vaccines are bollox. Take or don’t take. End of story.
Earlier than I expected. Nothing like repurposing a drug that everyone’s losing faith in. ‘Roll-up, roll-up, what we have here is a wonder drug, yes it will do just about anything’………Do they really believe that we were born yesterday? I assume GP’s everywhere have already been appraised of its many other efficacious properties. May be I’m reading too much into this?
No I think you have it totally spot on – no doubt they think that putting out utter tripe of this sort might just capture the last few remaining refuseniks – the ones who want to be “healthy” as a way to ‘persuade’ them that it will do nothing but turn them into an even healthier version of themselves.
Thank God for a functioning brain to see through all this BS.
The bit that struck me from that table (per 100,000 person years?) was that the overall total deaths for the vaxxed (3350) was more than the unvaxxed (2440).
At least these data weren’t trying to hide those recently vaccinated as one vaccination status lower than reality, as previous data sets have done.
There are a lot of arguments about variables and bias for and against vaccines. The fact that efficacy in either direction is unclear tells me they don’t have a big effect (short term) on covid. If they did it would be obvious.
What does seem clear is adverse events are high short term. I would also add there “should” be great concern over the long term as we have vaccinated over half the Western world with an experimental vaccine for which we have no idea of long term. Well, except prior animal experiments which weren’t good – what changed to make them safe?
“Some people claim that getting vaccinated reduces your risk of death by as much as 90%” I’m crap at crunching figures and correct me if I’m wrong but doesn’t Covid, whatever make it is, have a 99.98% survival rate without the injectables, for the majority of people?
Exactly….I pointed that out on GB News, they didn’t read it out though!
Do I trust any of the
datastatistics, constantly being analysed? NODoes any of it justify taking away my freedom anyway? NO
Does the author of this article think they are interested in his opinion?
They aren’t interested in science, they’re only interested in their narrative, they’ve been ignoring facts from day one. And the loosening of restrictions is by no means an admission of anything. They made threats they knew they couldn’t full fill eg. mandatory vaxxing.
They haven’t recalled the dangerous experimental gene therapy, despite the fact they’ve gone ultra precautious about covid, yet for the first time in history they’ve implemented mass production & mass deployment for an untested new technology & discredit anyone or anything that question its efficacy or safety.
Note the other crisis they are manufacturing to distract our attention, why what are they distracting us from? The bozo BS is just theatre, just more of the same directing their desired narrative.
This is an orchestrated agenda to grab power by the ruling elite being facilitated by schizophrenic liberal leftists. They have declared war on freedom.
Science IS tyranny.
Didn’t used to be.
“ facilitated by schizophrenic liberal leftists”…..Also they’re stooges for the WEF and the Reset crowd.
It’s probably the opposite of a ‘healthy vaccinee’ effect.
Those who are unjabbed that end up in hospital and die could quite easily be the “unhealthy unjabbed” effect.
Someone who is too ill or frail to have the jab is more likely to end up in hospital and the data shows that they were “unvaccinated” without any enquiry on their health status.
A rough sleeper who is not on any health records who ends up in hospital is regarded as “unjabbed”
All these unhealthy unjabbed are skewing the figures making the jabs look a lot more effective than they really are.
We all know that the ONS has grossly underestimated the unjabbed population by the many articles on this website.
The people who gather the data conveniently say that they are not allowed to show the unjabbed health status as it would contravene data protection laws.
I still haven’t seen any hard evidence that the jab is actually working.
Typical bias, deaths in the un vaxxed group would be larger because, for most of 2021, the majority of people in England were unvaxxed (according to the prevailing definition of “unvaccinated” that is)
Well spotted!
Thanks twinky
Source: https://publichealthscotland.scot/media/11089/22-01-12-covid19-winter_publication_report.pdf
https://boriquagato.substack.com/p/alberta-gets-caught-palming-cards
Probably disappears already when this manipulation was adjusted for.
I don’t want to support the vaccines or not but my reason for not vaccinating was that I believed I am healthy enough that the balance of risk favoured not vaccinating. I realised it was poorly tested. I have met others that made a similar assessment.
If you are vulnerable and / or very old such that you have few years ahead anyway then taking a chance on vaccinating makes more sense.
The coercion makes me think that very few should take the vaccine and that it is not pushed for the recipient’s benefit.
I am so sick of this covid aka great reset nonsense. But I undertake as a duty to inform people about facts about cheaply, effectively and qucikly curing this so called virus symptoms. Search for c19ivermectin on your search engine. On that website you will find as of right now there are 142 studies. 93 of them are peer reviewed about curing covid19 with ivermectin. These are undeniable evidences. Get your ivermectin before it is too late https://ivmpharmacy.com
Try telling us about what is actually in the Gene Therapy mRNA injections ( all the ingredients) what they actually do to the body and all our cells and how, what effect they have on our immune systems, how long their synthetic viral spike proteins last in the body, what side-effects have been officially reported word-wide, how many acknowledged deaths are directly caused by them, how many people have suffered life-changing severe adverse reactions ,how many people have died in all the experimental vaccine trials over the last 20 years compared to the many thousands who have died word wide as a result of being injected with these products….and how many children- at no risk from the virus – have died after being injected with these ’emergency use only’ products .
Then tell us about the “Healthy Vaccine Effects”
This discussion doesn’t consider the possibly much greater impact of classifying people vaccinated within 14 days post-vaccination – when there is known immunosuppression – in the unvaccinated group. The arithmetical and statistical tricks Big Pharma play to enhance the apparent effectivity of their potions are ingenious and seemingly limitless. Now public health authorities have become their willing servants, applying those same sleights of hand to bamboozle us all – government and the public.
If there was nothing to hide the sleights of hand wouldn’t be needed
The fact that they resort to doctored data tells you everything you need to know.
Is this not simply because pre 14 days the vaccinated are counted as unvaccinated. Within those days there is a much higher chance of illness or death. El gato sets it out rather well from statistician Joel Smalley https://metatron.substack.com/p/alberta-just-inadvertently-confessed
According to the table there were 1,280 covid deaths per 100,000 people. An Infection Fatality Rate of almost 1.3% it would seem, despite it being around 0.2% globally.
With a population of 68 million, this death rate would account for 89,000 deaths across the reference period, the covid dashboard tells us there were 67,000. Assuming the number only includes the 55 million expected to be jabbed, this still gives a death rate of 71,000, despite the fact that the younger generation don’t die with it.
There were apparently 5,800 deaths per 100,000 people in the first 10 months of last year. 5.8% or 3.74 million of us passed away. A reasonable estimate would then be that 4.5 million died over the whole of 2021 against a typical year where perhaps 0.75 million of us die. Yet none of us noticed this massacre.
I don’t claim to understand what a “person year” is, and perhaps that is why my extrapolated calculations seem so strange, but there does seem to be something fishy here.
Look if you want to take an experimental biological with minimal safety or efficacy data and NO long term safety or efficacy data be my guest. However, with adverse events and deaths post vaxx stacking up, there is a massive concern among top scientists, researchers and doctors that this may not be a very smart thing to do.