Try As They Might, Lockdown Proponents Can’t Escape the Blame for the Biggest Public Health Fiasco in History

Politicians, journalists and academics are wrong to blame the public for the failure of lockdowns since “the population [has never] sacrificed so much to comply with public health mandates”, say two of the authors of the Great Barrington Declaration (GBD). Writing in the Telegraph, Martin Kulldorff and Jay Bhattacharya – professors of medicine at Harvard and Stanford respectively – say that lockdown proponents need to acknowledge that eschewing focused protection and quarantining entire populations indiscriminately has led to the “biggest public health fiasco in history”.

A year ago, there was no evidence that lockdowns would protect older high-risk people from Covid. Now there is evidence. They did not.

With so many Covid deaths, it is obvious that lockdown strategies failed to protect the old. Holding the naïve belief that shutting down society would protect everyone, governments and scientists rejected basic focused protection measures for the elderly. While anyone can get infected, there is more than a thousand-fold difference in the risk of death between the old and the young. The failure to exploit this fact about the virus led to the biggest public health fiasco in history.

Lockdowns have, nevertheless, generated enormous collateral damage across all ages. Depriving children of in-person teaching has hurt not only their education but also their physical and mental health. Other public health consequences include missed cancer screenings and treatments and worse cardiovascular disease outcomes. Much of this damage will unfold over time and is something we must live with – and die with – for many years to come.

The blame game for this fiasco is now in full swing. Some scientists, politicians, and journalists are complaining that people did not comply with the rules sufficiently. But blaming the public is disingenuous. Never in human history has the population sacrificed so much to comply with public health mandates.

The professors are very critical of lockdown zealots like Neil O’Brien MP who have attempted to slur respected scientists – such as Oxford professor Sunetra Gupta (the third author of the GBD) – for not toeing the line on lockdown. This, they say, has stifled the public debate on the most effective way to deal with Covid.

A few academics have jumped on the bandwagon. Dr Depti Gurdasani at Queen Mary University, for example, accused Dr Gupta of pseudoscience, suggesting that she should be deplatformed and Oxford University should act against her. Unfortunately, such behaviour intimidates other academics into silence, undermining scientific debate.

Last spring, the pandemic was waning due to a combination of immunity and seasonality, and many lockdowners claimed that lockdowns had succeeded. Still, it was obvious to any competent infectious disease epidemiologist that it would be back, and in June, Dr Gupta said she expected a resurgence of Covid in the winter months. This didn’t prevent journalists and politicians from falsely claiming that she thought the pandemic was all over.

The fact is that with a lower herd immunity threshold in the summer than in the winter, immunity can drive a pandemic on its way out during the spring but then resurge next autumn, and that is what happened. A year into the pandemic, one would think that politicians and journalists writing about Covid would have bothered to acquire some basic knowledge of infectious disease epidemiology.

Their article is very much worth reading in full.

Subscribe
Notify of

To join in with the discussion please make a donation to The Daily Sceptic.

Profanity and abuse will be removed and may lead to a permanent ban.

46 Comments
Oldest
Newest Most Voted
Inline Feedbacks
View all comments
RickH
4 years ago

What should be added to this is the fact that, in the great scheme of things, the ‘pandemic’ wasn’t an unprecedented event in the first place, and should also be judged from that perspective.

steve_w
4 years ago
Reply to  RickH

That’s right. They pretended it was unprecedented – the modelling didn’t even say it was unprecedented. Just that a handful of people thought that a new approach could save lives and somehow that became the dominant narrative.

RickH
4 years ago
Reply to  steve_w

It’s always worth remembering what is essentially a blatant lie propounded by government in their document justifying the ‘vaccines’ as an emergency. It really is a smoking gun of the falsehoods. :

COVID-19 is the biggest threat this country has faced in peacetime history, which is why the UK government is working to a scientifically led, step-by-step action plan for tackling the pandemic – taking the right measures at the right time.”

steve_w
4 years ago
Reply to  RickH

Yes. I remember the Irish Premier saying ‘the one thing we know about covid is that it is completely indiscriminate’

We have been lied to from the beginning.

Even with their lies and exaggerations, the effect of lockdown was always going to be worse. This was clear last March. It was well known in the scientific community. I have no idea how the narrative changed

karenovirus
4 years ago
Reply to  steve_w

I remember ‘nobody is safe from this unprecedented and deadly global pandemic’.
It was in the interest of both the government and the media to constantly remind us of this.

Whenever someone under 50 came down with a bad case, especially those few who died, the Today Programme and Jeremy Vine (R2) were all over it like flies on shite.

steve_w
4 years ago
Reply to  karenovirus

and BBC ‘the wards are filling up with covid kids’. That day summed it all up for me. Lie big and apologise quietly. The BBC wanted it to be true so they reported it without investigating.

That BBC lie went around the world before the truth came out

https://au.news.yahoo.com/covid-wards-full-of-children-as-uk-pandemic-explodes-053207113.html

karenovirus
4 years ago
Reply to  steve_w

Thank you for that link.
Was Matron Laura Duffel ever penalised for sparking that report ?

She would have been prosecuted for lending aid and comfort to the enemy, at least, in time of war.

20210424_225511.jpg
Health Seeker
4 years ago
Reply to  RickH

Have the pandemics of 1957 & 1968 been airbrushed from history?

karenovirus
4 years ago
Reply to  Health Seeker

Possibly by now but in the past they were written of as one of those things, no big deal.
Post war London smogs got far more attention.

Born 1956 but the only thing I remember about 1968 news is shabby old Harold Wilson and his interminable ‘beer and sandwiches’ meetings with Trades Union leaders.
Oh, and I bought my first pop single, The Good The Bad and The Ugly by Sergio Macaroni.

Bella Donna
4 years ago
Reply to  karenovirus

I was working in London in 1968 and there was no hysteria. In fact I wasn’t aware there was an influenza problem. Then again my generation weren’t bedwetters and at that time we had an independent press with proper journalists.

DevonBlueBoy
DevonBlueBoy
4 years ago
Reply to  Bella Donna

Same here and my job was as a medical representative visiting GPs and Hospital doctors and pharmacists; all of whom were open for business

karenovirus
4 years ago
Reply to  steve_w

From before, during and after Lockdown 1. the large number of elderly people that I spoke to virtually all said they should let ‘it’ play out as usual. They didn’t want lockdown but complied even though it was robbing them of months and more of the last years of their lives.

As an out and about ‘key worker’ I estimate that I had up close and personal (mask exempt) encounters with 6k+ people over twelve months; only once did I meet anyone who knew someone in the general population who had died of (with?) Covid. That was his elderly dad who had diabetes and alzheimers though it took me to explain that they were all three significant comorbidities.

I have come across a number of individuals who complained that someone they knew had been recorded as ‘covid dead’ even though they had died in a car crash or had a stroke.

Yet still they comply (unless nobody is looking)..

karenovirus
4 years ago
Reply to  RickH

The only thing that was different about it was that it was first noticed in March/April 2020 rather than earlier in the winter in which case it would have been seen as just another bad, though not unprecedented, seasonal flu.

Good to see it in the Telegraph though.

Samurai Jack
Samurai Jack
4 years ago
Reply to  RickH

Can it really be called a pandemic with such false hoods evident?

Google pandemic and its an epidemic across multiple regions, but i suspect, like most other things, they have changed the language and definitions to suit their narrative.

I keep asking, where have we had a disproportionate number of young people, teachers, bus drivers, super market worker, pre school workers all get sick and die?

I mean. The average age is what…82 and 3 months with so many excess deaths coming in the care home setting.. But then again, when u discharge sick people from hospital to put them back into care homes, what did they expect?

Is anyone aware of the WHO ICD codes that were used to fudge the recording of death? Because i don’t hear much about this, the ICD code U07.2 might explain a large portion of the BS!

karenovirus
4 years ago
Reply to  Samurai Jack

Google have clearly not get the memo that WHO changed Their definition of Pandemic a few years ago from an epidemic occurring simultaneously in several neighbouring countries to whatever it is now.

The reason they did this is that most countries are signed up to WHO ‘treaties’ that legally oblige them to swing into action and follow various pre set protocols when WHO itself declares a Pandemic, such as ordering zillions of vaccines and rushing research for new ones.

As an aside, the reason that both the USA and UK studiously avoided using the word ‘Quarantine’ when mandating lockdown is that their domestic legislation would have obliged them to likewise follow protocols to compensate those financially disadvantaged by being ordered into ‘Quarantine’.

Bella Donna
4 years ago
Reply to  Samurai Jack

A certain billionaire with deep pockets paid the W. H. O to declare it a pandemic. If there was an award for most evil person in modern times it should go to him.

LePib
LePib
4 years ago
Reply to  Bella Donna

I fell down a BMGF rabbit-hole earlier today. Sadly, you can’t even mention that certain billionaire’s name in public, let alone point out any of the nefarious things he gets up to in plain sight, without being accused of being a 5G, QAnon, conspiracist. He’s really pulled off a remarkable magic trick there.

ThomasPelham
4 years ago
Reply to  RickH

Indeed! Somehow the world survived a far worse pandemic in 1918, without draconian restrictions, and I’m sure it was sad but I’m also sure that if you had bothered to ask people at the time they wouldn’t have considered what we are doing today proportionate. They’d have laughed at you.

If neil ferguson’s worst prediction had come true, we’d have been living with a risk akin to the risk of being alive in 1976. Now don’t get me wrong, it’s nice that we die less than in 1976, but it’s also hardly an unprecedented risk to live under. Pandemics, as Lord Sumsion has noted, are simply part of the risk of being alive, and not something to panic about.

Protect the vulnerable, seek good treatments, vaccinate if safe, and continue life as normally as possible. Sounds sensible.

Will
Will
4 years ago

We should be flooding social media with this piece.

Carrie Symonds
4 years ago

Dr Gupta has been abused and slandered by the covid establishment for telling the truth as the science guided her. She must have suffered tremendous personal hurt. I want to say thank you to her for her courage and honesty.

steve_w
4 years ago
Reply to  Carrie Symonds

She has. But I imagine she is quite stoic and also that a lot of people agree with her – not least her research group and lots of other people in The University who kept their heads. She probably goes to the same speakeasy as Carl Heneghan and Tom Jefferson.

karenovirus
4 years ago
Reply to  steve_w

Dr Gupta will know that the truth will out (hopefully).
Let’s keep a careful eye out for this disgusting turd Dr Depti Gurdasani for demanding she be deplatformed.

Fingerache Philip
Fingerache Philip
4 years ago

I can’t remember who said it (was it Toby?) IT WAS (AND IS) AN HYSTERICAL OVERREACTION!!!
Lockdown, that is.

Monro
4 years ago

Just about every world leader and their associated shamans have tied themselves to the mast of lockdown.

And the stuff is starting to hit the fan.

‘Just over one year ago, the epidemiology modelling of Neil Ferguson and Imperial College played a pre-eminent role in shutting down most of the world. The exaggerated forecasts of this modelling team are now impossible to downplay or deny, and extend to almost every country on earth. Indeed, they may well constitute one of the greatest scientific failures in modern human history.’

https://www.aier.org/article/the-failure-of-imperial-college-modeling-is-far-worse-than-we-knew/

iane
iane
4 years ago
Reply to  Monro

‘one of the greatest scientific failures in modern human history’? Well, yes – but dwarfed by the climate change/global warming swindle!

Milo
Milo
4 years ago
Reply to  iane

and the two are now allied to each other because the lockdown and the “pandemic” are being used to justify the “greening” of the recovery under the guise of the 4th industrial revolution etc

huxleypiggles
4 years ago

I have enormous respect for the authors and Dr Gupta but their apparent unwillingness to accept that Covid 1984 is nothing more than a cover for the Reset undermines their case. Agenda 2030 is underway and mass depopulation is part of it so murdering old people was just the start of the process. Everything else – masks, contradictory rules and guidance, anti-social distancing and restrictions on people getting together were intended to kill and make poorly millions more. The Bozo cabal have indeed been following the science but it has been science intended to kill and maim. The Psy-Ops people have done their murderous work very well and it is continuing. The lockdown has been quite literally life destroying for millions and Bozo knows this. The unrelenting media campaign continues and since when has a touch of ‘flu needed a marketing campaign which is currently looking at being at least three years long? So let’s drop the excuse that the whole world has fallen for poor science and even poorer “expert” advice and acknowledge what is really going – a pre-planned campaign to depopulate the planet, genocide basically, and to make slaves of those who survive. A Global elite is… Read more »

fon
fon
4 years ago
Reply to  huxleypiggles

 Martin Kulldorff and Jay Bhattacharya and Gupta are wrong, Fon is right, see below for the proof!


Catee
4 years ago

Does anybody have an update on how the rally is going in London today?

HelenaHancart
HelenaHancart
4 years ago
Reply to  Catee

It’s going really well. Biggest turnout yet, well up in the tens of thousands, some saying a million are there. Great atmosphere and police standing well back. There are a few arrests, but with huge opposition from the crowd. Been watching on Subject Access on You Tube and getting updates from my husband and brother who are there. But, as you would expect, a total blackout by the MSM.

fon
fon
4 years ago
Reply to  HelenaHancart

I believe lockdown is unnecessarey having vaccinated the vulnerable. ASe my post below on why lockdown was necessary until the vulnerable had been vaccinated. A recent Oxford study more or less proves it.

Catee
4 years ago
Reply to  HelenaHancart

Thank you, that is such good news.

karenovirus
4 years ago
Reply to  HelenaHancart

Daily Mirror of all places.
No mention of ‘deniers’ or ‘conspiracy’

20210424_233509.jpg
fon
fon
4 years ago

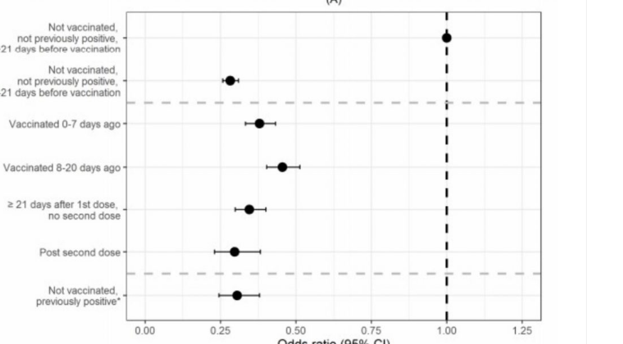
On another thread, this morning, we discussed a plot from an Oxford study we called Plot A. Here it is again below, this plot contains rock solid evidence that lockdown DID protect the vulnerable from covid19. I’ll quickly get to the main point.The blob in the top right of Plot A below represents people who were never vaccinated. Their rightwards position on the x axis, indicates that such people had a normal risk of having covid19, represented by 1. Since they were never in the vaccination plan, we DO NOT regard these people as vulnerable to die if they caught covid19, or they would have been put in the plan. The next blob down in Plot A represents people in the vaccination plan who are not yet vaccinated (we DO regard them as vulnerable, since they are in the plan.) Yet the leftwards position of their blob on the x axis shows they have a lower risk of having covid19. So we have to ask why are the unvaccinated vulnerable people at lower risk of having covid19 than the normal people in the top blob? The answer is strikingly obvious once you use your head, since we only have two ways of protecting… Read more »

Screenshot 2021-04-24 at 13.11.36.png
Norman
4 years ago
Reply to  fon

You are right with your underlined statement, and this was the strategy espoused by the GBD, protect the vulnerable and let everyone else go about their lives normally. There was no need to lock everyone down.

Attaboy
Attaboy
4 years ago

be afraid…. be very afraid.

Nessimmersion
4 years ago

Slightly at a tangent, but I note a comment in the OffGuardian that:

Around the same time( last spring), somebody (or multiple somebodies) actually edited the Wikipedia page of the Spanish Flu, to change its IFR and make it seem like Covid was just as dangerous. Who did this remains a mystery, although why has become fairly obvious.

At the time, many experts (such as those listed in our 12 Experts article) predicted the actual IFR of “Covid” would be much, much lower than the WHO’s estimate, and that this would become clear as new data were gathered.

Dr John Ioannidis was one of the most vocal on this point, he was featured on our list and was also the first interview in the Perspectives on the Pandemic series. All the way along he has urged the need for cool heads and good data. His first a study, last April, found the REAL IFR of Covid19 was 0.27%. Then he did another in October that found it may be even lower at 0.2%.

And now, this most recent study found 0.15%. Right in line with seasonal influenza (which has, conveniently enough, dropped off the face of the planet).”
So the Branch Covidians have form for lying.

BillRiceJr
BillRiceJr
4 years ago
Reply to  Nessimmersion

At least for people under, say, age, 18, the IFR for influenza is greater than COVID.

BillRiceJr
BillRiceJr
4 years ago

Bravo! The authors get to the crux of the matter – how many unnecessary deaths were caused by the lockdowns (and then compare this number to those deaths that were without question prevented – a small and debatable figure).

The authors state there is more than a “thousand-fold” difference in COVID mortality between different age cohorts. I actually quantified this number when comparing death rates among the very oldest segment of population (85 and older) and the youngest age cohort (25 and under) in America. Based on CDC data of April 7th, the oldest age group (comprising fewer than 6 million Americans) are approximately 2,600 times more likely to die of COVID than the youngest 60 million Americans.

I make this point in an essay (about vaccines) that was published today at one American website.

https://www.americanthinker.com/articles/2021/04/how_to_make_a_covid_vaccination_decision.html

BillRiceJr
BillRiceJr
4 years ago

What the world needs is more serious journalism chronicling (documenting) the steep spikes in deaths from non-COVID causes that were largely – or at least in part – “caused” by the lockdowns. If such journalism reached a wide audience, then the public might be more inclined to ask this politically-incorrect question: Who really has “blood on their hands?”

fon
fon
4 years ago
Reply to  BillRiceJr

>the steep spikes in deaths from non-COVID causes

They are generally regarded as caused by the side effect of covid

fon
fon
4 years ago
Reply to  BillRiceJr

> Who really has “blood on their hands?”

have you looked atyour own hands?

Monro
4 years ago
Reply to  BillRiceJr

Well said. Of course, for the less diligent amongst the fourth estate, a great deal of the legwork has already been done:

‘Via its Department of Health and Social Care (DHSC), the government in mid-March adopted a policy, executed by NHS England and NHS Improvement, that led to 25,000 patients, including those infected or possibly infected with COVID-19 who had not been tested, being discharged from hospital into care homes between 17 March and 15 April—exponentially increasing the risk of transmission to the very population most at risk of severe illness and death from the disease. With no access to testing, severe shortages of PPE, insufficient staff, and limited guidance, care homes were overwhelmed. Although care home deaths were not even being counted in daily official figures of COVID-19 deaths until 29 April, some 4,300 care home deaths were reported in a single fortnight during this period.’

https://www.amnesty.org.uk/files/2020-10/Care%20Homes%20Report.pdf?kd5Z8eWzj8Q6ryzHkcaUnxfCtqe5Ddg6=

karenovirus
4 years ago

As I mentioned to someone else above, I was born in 1956, all I remember from the news in 1968 was shabby old Harold Wilson having ‘beer and sandwiches’ meetings with Trades Union leaders and always having a ‘Balance of Payments Crisis’.

The only othe thing of note was buying my first pop single, the good the bad and the ugly by Sergio Macaroni.

Health Seeker
4 years ago

For every accomplished, confident GBD scientist, how many might there be who, perhaps at the earlier stages of their careers have been intimitdated into silence?

Bella Donna
4 years ago

First of all the writer seems to believe, naively in my view, that our government actually cares about our health!! They don’t!